Dividing Polynomials
We will be examining polynomials divided by monomials and by binomials.
Dividing a Polynomial by a Monomial:
Steps for Dividing a Polynomial by a Monomial:
- Divide each term of the polynomial by the monomial.
a) Divide numbers (coefficients)
b) Subtract exponents

* The number of terms in the polynomial equals the number of terms in the answer when dividing by a monomial. - Remember that numbers do not cancel and disappear! A number divided by itself is 1. It reduces to the number 1.
- Remember to write the appropriate sign in between the terms.
Example 1:

Another way of looking at “dividing by a monomial” is multiplying by the reciprocal of the monomial. See Example 2.
Example 2:

Dividing a Polynomial by a Binomial:
Steps for Dividing a Polynomial by a Binomial:
- Remember that the terms in a binomial cannot be separated from one another when reducing. For example, in the binomial 2x + 3, the 2x can never be reduced unless the entire expression 2x + 3 is reduced.
- Factor completely both the numerator and denominator before reducing.
- Divide both the numerator and denominator by their greatest common factor.
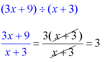
Example 1:
Factor the numerator.
Reduce the common factor of x + 3.

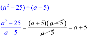
Example 2:
Factor the numerator.
Reduce the common factor of a – 5.

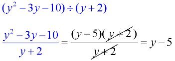
Example 3:
Factor the numerator.
Reduce the common factor y + 2.

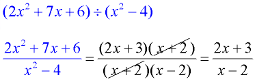
Example 4:
Factor the numerator.
Factor the denominator.
Reduce the common factor of x + 2.

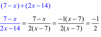
Example 5:
7 – x and x – 7 are “almost” the same, except that the signs of the terms are opposite one another. To create a situation that will allow for reducing, factor out -1 from one of these binomials.

Read More:
- What is a Polynomial?
- Types of Polynomials
- Monomials, Binomials, and Polynomials
- Adding Polynomials
- Subtracting Polynomials
- Polynomials – Long Division
- Degree (of an Expression)
- Special Binomial Products
- Multiplying Binomials
- Difference of Two Cubes
- Polynomial Remainder Theorem
- Factoring in Algebra
- Factorization of Polynomials Using Factor Theorem
- How do you use the factor theorem?
- How to factorise a polynomial by splitting the middle term?
- Review Factoring Polynomials
- Zeros of a Polynomial Function
- Factors and Coefficients of a Polynomial
- Roots of Polynomials: Sums and Products
- Review Factoring Polynomials
- Solving Polynomial Equations of Higher Degree
- Examining Graphs of Polynomial Equations of Higher Degree