Understanding Gravity
- When a boy accidentally drops a book from his hand. The book is pulled towards the Earth by the force of gravity.
Fig. The book dropped by the boy is pulled towards the Earth - The force of gravity on the Earth is caused by a gravitational field around the Earth. The gravitational field is a region in which an object experiences a force due to the gravitational attraction towards the centre of the Earth. Figure shows the direction of the gravitational field.
Fig. The direction of the gravitational field around the Earth - Gravitational acceleration is the acceleration of an object due to the pull of gravitational force.
- An object undergoes free fall if it is acted upon by gravitational force only. Near the surface of the Earth, all free falling objects will have a gravitational acceleration, g which is equal to 9.8 m s-2.
- Figure shows a stroboscopic photograph of a feather and an apple undergoing free fall in a vacuum. Both the feather and the apple fall with the same acceleration.
(A stroboscopic photograph captures the image of a moving object and shows its respective positions at regular intervals of time.)

- The gravitational field strength at a point in the gravitational field is the gravitational force acting on a mass of 1 kg placed at that point. Therefore,

Where, g = gravitational field strength,
F = force of gravity, m = mass. - The SI unit for gravitational field strength is N kg-1.
Also Read About: Newton’s Law of Universal Gravitation
Earth’s Gravitational Force
Weight

- The weight of an object is the force of gravity acting on the object.
- For an object with a mass, m, its weight, w is given by:
w = mg
where g is the gravitational field strength. - The SI unit for weight is newton (N). Weight is a vector quantity.
Example 1. An astronaut has a mass of 75 kg. Calculate the gravitational force on the astronaut when he is standing
(a) on the Earth with a gravitational field strength of 9.8 N kg-1,
(b) on the Moon with a gravitational field strength of 1.6 N kg-1.
Solution:

Example 2. The Hubble telescope has a mass of 11600 kg.
(a) Determine its weight when it is resting on Earth which has a gravitational field strength of 9.8 N kg-1.
(b) What is the value of the gravitational field strength if its weight at a particular orbit above the Earth is 95000 N?
Solution:

Example 3. At a particular point above the Earth, an aircraft of mass 20 000 kg experiences a gravitational force of 192 000 N. Calculate the gravitational field strength at that point.
Solution:

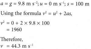
Example 4. A ball is dropped from a building and undergoes free fall. What is its velocity just before it touches the ground which is 100 m from where it is dropped?
[g = 9.8 m s-2]
Solution:

Activity 1
Aim: To determine the value of acceleration due to gravity.
Materials: Slotted masses, a piece of plank, cellophane tape, ticker tape
Apparatus: Ticker timer, 12 V a.c. power supply, stool, G-clamp
Method:

- The apparatus is set up as shown in Figure.
- A strip of ticker tape about 2.5 m long is cut and passed through the ticker timer.
- One end of the tape is attached to the 100 g slotted mass.
- The ticker timer is switched on and the slotted mass is released so that it falls onto the plank.
- The tape is analysed to determine the gravitational acceleration, g.
- Steps 2 to 5 are repeated for slotted masses of mass, m = 200 g and 300 g.
Results:

Discussion:
- The values of g for different masses are almost the same. This shows that the gravitational acceleration is constant. It does not depend on the value of the mass.
- The accurate value for g is 9.8 m s-2. The experimental values are smaller than this value due to unavoidable frictional forces and air resistance.