What is Elastic Potential Energy?
- Work is done when a force is used to extend or compress an elastic material. The work done is stored in the material as elastic potential energy.
- The extended or compressed material can do work on an object attached to it due to the elastic potential energy.
- Figure shows an example of energy transformation that involves elastic potential energy.

- (a) Figure (a) shows the stretching of a spring and its corresponding F-x graph in Figure (b). When a force is applied to extend the spring, the magnitude of the force, F increases proportionately with the extension, x.

(b) The displacement resulted by the force is in the direction of the force. This displacement is equal to the extension of the spring, x. Hence, the work done, W in extending the spring can be determined by the formula:

(c) Work done in extending the spring is equal to the area under the F-x graph of the spring.
(d) The work done to extend the spring is the energy transferred to the spring and is stored as elastic potential energy. Hence, elastic potential energy, E stored in a stretched spring, is given by:

Elastic Potential Energy Problems With Solutions
Example 1. Figure shows a graph of F against x for a spring.

(a) Calculate the work done to stretch the spring a length of 0.03 m.
(b) What is the elastic potential energy stored in the spring when it is stretched a length of 0.03 m?
Solution:

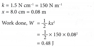
Example 2. A spring with a force constant of 1.5 N cm-1 is extended a length of 8.0 cm. Calculate the work done in stretching the spring.
Solution:

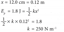
Example 3. The elastic potential energy stored in a spring that is stretched a length of 12.0 cm is 1.8 J. Calculate the force constant of the spring.
Solution:

Example 4. Figure shows a spring before and after being compressed.

(a) Calculate the force constant of the spring.
(b) What is the elastic potential energy stored in the compressed spring?
[Take g = 9.8N kg-1]
Solution:
