Selina Concise Mathematics Class 9 ICSE Solutions Factorisation
APlusTopper.com provides step by step solutions for Selina Concise Mathematics Class 9 ICSE Solutions Chapter 5 Factorisation. You can download the Selina Concise Mathematics ICSE Solutions for Class 9 with Free PDF download option. Selina Publishers Concise Mathematics for Class 9 ICSE Solutions all questions are solved and explained by expert mathematic teachers as per ICSE board guidelines.
Download Formulae Handbook For ICSE Class 9 and 10
ICSE SolutionsSelina ICSE Solutions
Selina ICSE Solutions for Class 9 Maths Chapter 5 Factorisation
Exercise 5(A)
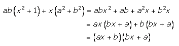
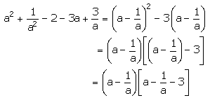
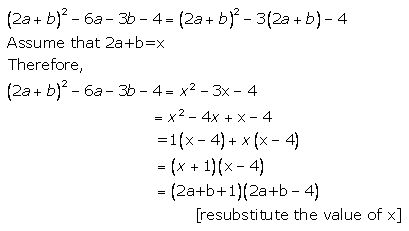
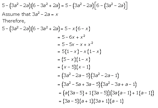
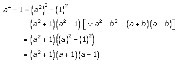
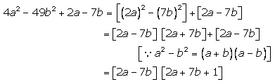
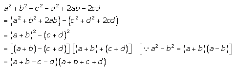
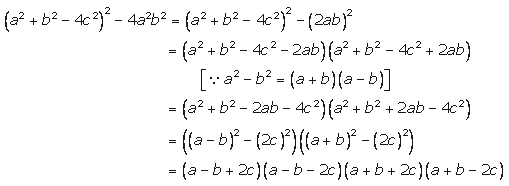
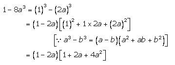
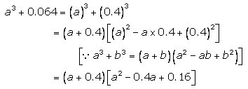
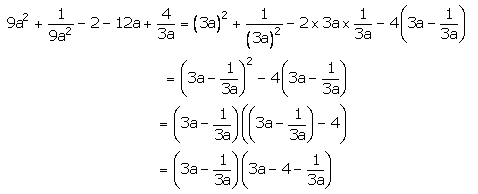
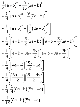
Solution 1:
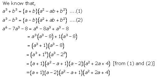
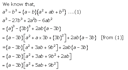
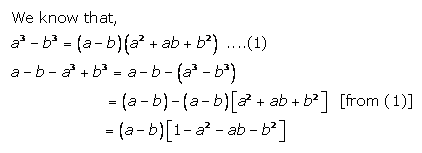
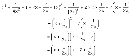
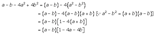
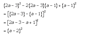
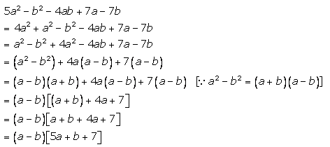
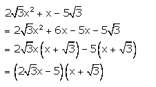
![]()
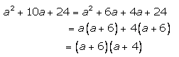
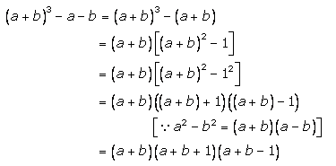
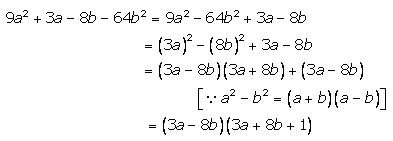
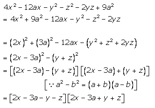
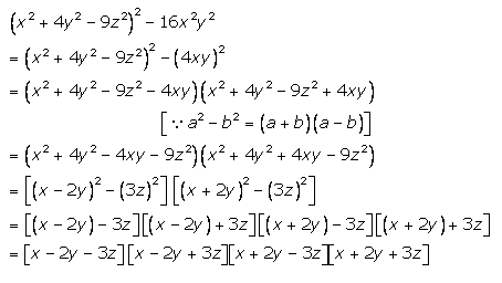
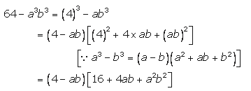
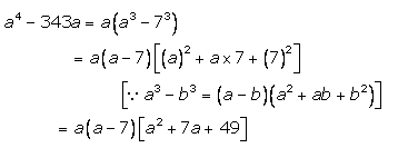
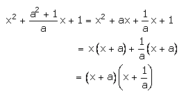
Solution 2:

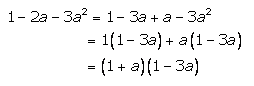
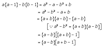
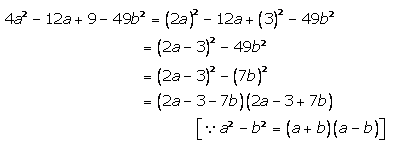
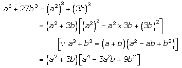
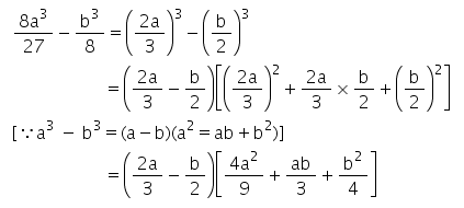
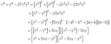
Solution 3:

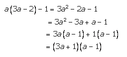
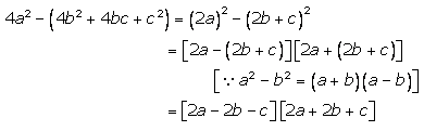
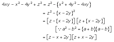
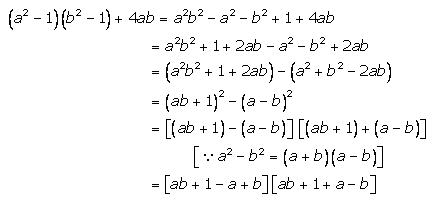
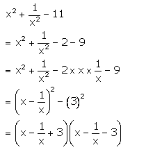
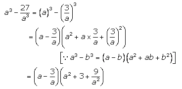
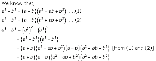
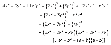
Solution 4:

Solution 5:

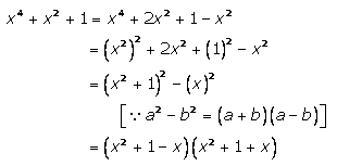
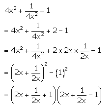
Solution 6:

Solution 7:

Solution 8:

Solution 9:

Solution 10:

Solution 11:

Solution 12:

Solution 13:

Solution 14:

Solution 15:

Solution 16:

Solution 17:

Solution 18:

Solution 19:

Solution 20:

Exercise 5(B)
Solution 1:

Solution 2:

Solution 3:

Solution 4:

Solution 5:

Solution 6:

Solution 7:

Solution 8:

Solution 9:

Solution 10:

Solution 11:

Solution 12:

Solution 13:

Solution 14:

Solution 15:

Solution 16:

Exercise 5(C)
Solution 1:

Solution 2:

Solution 3:

Solution 4:

Solution 5:

Solution 6:

Solution 7:

Solution 8:

Solution 9:

Solution 10:

Solution 11:

Solution 12:

Solution 13:

Solution 14:

Solution 15:

Solution 16:

Solution 17:

Solution 18:

Solution 19:

Solution 20:

Solution 21:

Solution 22:

Solution 23:

Solution 24:

Solution 25:

Solution 26:

Solution 27:

Solution 28:

Solution 29:

Solution 30:

Exercise 5(D)
Solution 1:

Solution 2:

Solution 3:

Solution 4:

Solution 5:

Solution 6:

Solution 7:

Solution 8:

Solution 9:

Solution 10:

Solution 11:

Solution 12:

Solution 13:

Solution 14:

Solution 15:

Solution 16:

Solution 17:

Exercise 5(E)
Solution 1:

Solution 2:

Solution 3:

Solution 4:

Solution 5:

Solution 6:

Solution 7:

Solution 8:

Solution 9:

Solution 10:

Solution 11:

Solution 12:

Solution 13:

Solution 14:

Solution 15:

Solution 16:

Solution 17:

Solution 18:

Solution 19:

Solution 20:

More Resources for Selina Concise Class 9 ICSE Solutions
- Concise Mathematics Class 9 ICSE Solutions
- Concise Physics Class 9 ICSE Solutions
- Concise Chemistry Class 9 ICSE Solutions
- Concise Biology Class 9 ICSE Solutions