ICSE Solutions for Class 10 Physics – Refraction of Light
ICSE SolutionsSelina ICSE Solutions
APlusTopper.com provides ICSE Solutions for Class 10 Physics Chapter 3 Refraction of Light for ICSE Board Examinations. We provide step by step Solutions for ICSE Physics Class 10 Solutions Pdf. You can download the Class 10 Physics ICSE Textbook Solutions with Free PDF download option.
Download Formulae Handbook For ICSE Class 9 and 10

Short Answers
Question 1: What is meant by refraction of light?
Answer: It is a phenomenon in which a ray of light deviates from its original path, while travelling from one optical medium to another optical medium.
Question 2: Name the phenomenon responsible in the following cases:
(i) Apparent bending of a stick in water (ii) Twinkling of stars.
Answer: (i) Refraction of light. (ii) Refraction of light.
Question 3: Why do the faces of persons sitting around camp fire appear to shimmer?
Answer: The rays coming from the face of person, sitting across the camp fire, suffer refraction on passing through hot air. Thus, we see apparent image of person. Since hot air is in motion, therefore its optical density changes, which in turn shifts the image rapidly. This rapidly shifting image gives a shimmering effect.
Question 4: Why does a fisherman aim at the tail of fish during spear fishing?
Answer: Due to refraction, when the rays travel from water to air, the apparent image of the fish is formed at a higher level and ahead of the actual position of fish. Thus, when the fisherman aims at the tail of the apparent image of fish, his spear hits the head of actual fish.
Question 5: During sunset and sunrise, the sun is seen when it is slightly below the horizon. Give reason. Light rays from sun while coming towards earth suffers successive refractions from a rarer to a denser medium and so it bends towards the normal at each refraction. These rays on earth appear to be coming from an apparent position of sun which is higher than its actual position. Thus, the sun is seen even when it is slightly below the horizon during sunset and sunrise.
Question 6: Why upper surface of water contained in a beaker and above eye level appears silvery?
Answer: Critical angle for water is 49°. The rays of light entering in water from below, suffer refraction. If these rays strike the water-air surface at an angle which is greater than 48°, they get totally internally reflected. These rays on emerging out of water, appear to came from the upper surface of water, which in turn appears silvery.
Question 7: Glass is transparent in nature. Why does glass powder look opaque? When water is poured over it, it again becomes transparent. Why?
Answer: In case of powdered glass, irregular reflection takes place from various particles. Thus, light is sent back into the same medium. Therefore, it looks opaque. On putting water over the powder incident light gets refracted through water. That is why it looks transparent.
Question 8: (i) A ray of light passes from water to air. How does the speed of light change?
(ii) Which colour of light travels fastest in any medium except air?
Answer: (i) When light passes from water to air i.e., from denser to rarer its speed increases.
(ii) Red light travels fastest.
Question 9: Why is the colour red used as a sign of danger?
Answer: Red colour is used as sign of danger due to its greater wavelength and lesser deviation (scattering).
Question 10: Does the depth of a tank of water appear to change or remain the same when viewed normally from above?
Answer: Depth of the tank remains the same when viewed normally from above.
Question 11: Mention one difference between reflection of light from a plane mirror and total internal reflection of light from a prism.
Answer: In reflection of light from a plane mirror. Light reflect partially, some part reflect and transmit also. In total internal reflection through a prism there occurs 100% reflection of light.
Question 12: Name one main factor on which the direction of bending of a ray of light depends.
Answer: It mainly depends upon the optical density of the two media through which a ray of light travels.
Question 13: How does a ray of light bend when it ravels from:
(i) Rarer to denser medium. (ii) Denser to rarer medium.
(iii) When it is normal to the interface of the two media.
Answer: (i) When a ray of light travels from rarer to denser medium it bends towards the normal.
(ii) When a ray of light travels from denser to rarer medium it bends away from the normal.
(iii) The ray goes straight into second medium without any bending.
Question 14: What is the principle of reversibility of light?
Answer: According to the principle of reversibility the path of light ray is reversible.
Question 15: A fish swimming in a pond seems nearer than it really is. Explain.
Answer: This is because a light ray coming from the fish inside water when suffers refraction at the water-air interface, it bends away from the normal at the point of incidence. The refracted ray appears to be coming from a point at a depth less than the actual depth of the fish. That is why, the fish seems to be nearer than it really is.
Question 16: Why do diamonds sparkle?
Answer: Critical angle for diamond is quite less and is only 24°. Besides this diamonds are cut very sharp, making large number of refracting surface. Hence when a ray of light enters a diamond, it suffers a series of total internal reflections on account of very small critical angle. This makes a ray of light literally trapped within the diamond for a little time and this trapped light energy makes a diamond sparkle.
Question 17: Can light be ‘piped’ like sound in a doctor’s stethoscope?
Answer: Yes, light can be piped from one end to the other with little loss by allowing it to enter one end of a rod of transparent material. The light will undergo total internal reflection at the wall of the rod and will proceed along its axis. This actually being achieved by using a bundle of glass fibres.
Question 18: (i) State the Snell’s laws of refraction of light.
(ii) Write a relation between the angle of incidence (i), angle of emergence (e), angle of prism (A) and angle of deviation (d) for a ray of light passing through an equilateral prism.
Answer: (i) Laws of refraction of light:
(i) Incident ray, refracted ray and normal at the point of incidence all lie in the same plane.
(ii) Ratio of sine of angle of incidence to the sine of angle of refraction is a constant quantity
known as refractive index of the medium.


(ii) i + e = A + d.
Question 19: A glass slab is placed over a page on which the word VIBGYOR is printed with each letter in its corresponding colour.
(i) Will the image of all the letters be in the same place?
(ii) If not, state which letter will be raised to the maximum. Give a reason for your answer.
Answer: The image of all the letters of the word VIBGYOR in their corresponding colours will not be at the same place. In glass, red colour has the higher speed than violet colour, so red will be raised to the maximum while violet will be at the bottom and the other colours will be raised in the order I-B-G-Y and orange.
Question 20: State the factors on which the angle of deviation depends.
Answer: The angle of deviation depends upon:
(i) The refracting angle of prism.
(ii) The material of prism.
(iii) The colour of light.
(iv) The angle of incidence.
Question 21: Name the material for which refractive index is found to be maximum.
Answer: The refractive index is maximum for diamond, i. e., for diamond the refractive index, μ = 2.418.
Question 22: State the relation between the refractive index μ and the velocity of light (vm) in that medium.
Answer:


Question 23: What is the refractive index of:
(i) Vacuum and (ii) Water
Answer: (i) Unity (ii) 1.33
Question 24: Write down the relation between the critical angle and the refractive index of the medium.
Answer:
![]()
Where ic is the critical angle and μ is the refractive index of the medium.
Question 25: For which colour of white light the refractive index of a transparent medium is: (i) the least, (ii) the most? Give reason to your answer.
Answer: (i) The refractive index of a transparent medium is least for red light.
(ii) The refractive index of a transparent medium is most for violet light.
The reason is that the speed of violet light is least in a transparent medium while the speed of red light is most in transparent medium.
Question 26: What should be the ratio of the speed of light through the liquid to the speed through glass so that there is no refraction of light at the boundaries of the glass block when the system is illuminated by light of one colour?
Answer: Since there is no refraction of light at the boundaries of the glass block, it is possible only when the speed of light through the liquid as well as through the block is the same. Hence the ratio between the speed of light through the liquid to the speed of light through glass must be 1 (one).
Question 27: Comment on the statement ‘The refractive index of glass is 3/2.’
Answer: It means that the speed of light in glass is 2/3rd the speed of light in air (or vacuum).
Question 28: Define the term refractive index of a medium in terms of velocity of light.
Answer: Refractive Index: It is defined as the ratio of velocity of light in medium 1 to the velocity of light in medium 2.
Question 29: How is the refractive index of a medium related to its real depth and apparent depth?
Answer:
![]()
Question 30: Express the refractive index μ of a medium in terms of the velocity of light.
Answer: The refractive index ‘μ’ of an optical medium is defined as the ratio between the velocity of light in vacuum divided by the velocity of light in the given optical medium. Thus,
![]()
Question 31: Express the refractive index μ of a medium in terms of the angle of incidence i in air and the angle of refraction r in a denser medium.
Answer: If light travels from air into another denser medium, the refractive index ‘μ’ of the medium.

Question 32: If a ray of light passes from medium I to medium II without any change of direction, what can be said about the refractive indices of these media (angle i is not 0)?
Answer: When a ray of light travels from medium I to medium II without any change of direction, it is possible under either of the following two conditions:
(i) A ray of light is incident normally on the surface separating two media.
(ii) The refractive index of medium I is equal to the refractive index of medium II.
Question 33: Explain briefly what causes the twinkling of stars at night.
Answer: Stars are very far from us. The light ray coming from a star undergoes successive refractions on entering earth’s atmosphere and bends towards the normal. Hence, an apparent image of the star is seen. Simultaneously due to movement of air the refractive index of layers of atmosphere keep on changing, i.e., the apparent position of star keeps changing. Thus, the star appears to twinkle.
Question 34: How is critical angles related to the refractive index of the medium?
Answer:

Question 35: Can the absolute refractive index of a medium be less than one?
Answer: No, the absolute refractive index of a medium can not be less than one because speed of light in any medium is always less than that in vacuum.
Question 36: Why does sun appear bigger during sunset or sunrise?
Answer: During sunset or sunrise, the rays of light from sun travel through a long distance through air. Thus, the apparent image of sun is formed closer to eye, which in turn appears bigger.
Question 37: (i) Name a prism required for obtaining a spectrum of ultraviolet light.
(ii) Name the radiation’s which can be detected by a thermopile.
Answer: (i) Quartz prism (ii) Heat radiation.
Question 38: What is total reflecting prism? Name two instruments in which it is used.
Answer: A total reflecting prism is a right-angled prism made of glass with other two angles each equal to 45°. It is used in (i) periscope and (ii) binoculars.
Question 39: State two advantages of using right angle prism as a reflector, rather than a plane mirror.
Answer: (i) There is no absorption of light in a prism and hence image is brighter.
(ii) Image is sharper in case of prism.
Question 40: State three actions that a total reflecting prism can produce.
Answer: (i) A total reflecting prism can deviate the path of a ray of light by 90°.
(ii) A total reflecting prism can turn a ray of light through 180°.
(iii) A total reflecting prism can invert the rays of light.
Question 41: In what condition a prism is said to be in the position of minimum deviation? What is the direction of the refracted ray inside the prism in this condition?
Answer: A prism is said to be in the position of minimum deviation when the angle of incidence of the light ray at the first prism surface is equal to the angle of emergence at the second surface of prism.
In this condition, the refracted ray inside the prism is parallel to the base of the prism (if the prism is equilateral).
Question 42: How does the angle of deviation produced by a prism depend on the colour of light used? Which colour of white light is deviated (i) most, (ii) least, by a prism?
Answer: The angle of deviation produced by a prism increases with the decrease in wavelength of the light used.
(i) Violet light is deviated most by a prism.
(ii) Red light is deviated least by a prism.
Question 43: Images formed by totally reflecting prisms are brighter than the image formed by ordinary reflected light, why?
Answer: This is because, in total internal reflection 100% of incident light gets reflected. On the other hand, in ordinary reflection, 20% to 30% of incident light is lost. So, images formed in the first case are brighter than the images formed in the second case.
Question 44: A ray of light incident at an angle of incidence ‘i’ passes through an equilateral glass prism such that the refracted ray inside the prism is parallel to its base and emerges from the prism at an angle of emergence ‘e’.
(i) How is the angle of emergence ‘e’ related to the angle of incidence ‘i’?
(ii) What can you say about the value of the angle of deviation in such a situation?
Answer: (i) Angle of emergence = angle of incidence.
(ii) Angle of deviation becomes minimum in this situation.
Question 45: What do you understand by the deviation produced by a prism? Define the angle of deviation.
Answer: When a ray of light passes through a prism, it bends towards the base of the prism. Thus, the path of the emergent ray differs from the path of incident ray. This is called the deviation produced by a prism.
The angle of deviation is defined as the angle between the incident ray and the emergent ray.
Question 46: State one factor on which critical angle for a given pair of media depends. The critical angle for glass-air interface is 45° for yellow light. Will it be equal to, less than or greater than 45° for (i) red light, (ii) blue light?
Answer: The value of critical angle for a given pair of media depends on the colour of light.
(Hint: Remember VIBGYOUR—Violet has minimum ic whereas Red has maximum).
(i) For red light, the critical angle will be greater than 45°.
(ii) For blue light, the critical angle will be less that 45 °.
Question 47: Name the factors affecting the critical angle for the pair of media.
Answer: Factors affecting the critical angle.
(i) Angle of incidence.
(ii) Refractive index of the medium.
Question 48: What is meant by the statement, ‘the critical angle for diamond is 24°’? How is the critical angle of a material related to its refractive index?
Answer: (i) It means that when a light ray is incident inside a diamond at an angle greater than 24°, the light will be totally internally refracted.
(ii) Relation of critical angle and refractive index:
![]()
Where μ = refractive index of material and C = critical angle.
Question 49: What is meant by the term ‘critical angle’?
Answer: Critical angle: It is the angle of incidence in the denser medium corresponding to which the angle of refraction in the rarer medium is 90°.
Question 50: You are provided with a printed piece of paper. Using this paper how will you differentiate between a convex lens and a concave lens?
Answer: First we place the lens on a piece of printed paper. Then we lift it slowly. If the words of the printed paper, seen through the lens becomes bigger than it is convex lens otherwise concave lens.
Long Answers
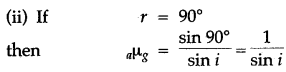
Question 1: The refractive index of air with respect to glass is defined as:

Answer:
[for the same value of ∠i and ∠r for a given pair of media]


The corresponding angle i is called as the critical angle for the given pair of media.
Figure Based Short Answers
Question 1: Draw the diagram given below and clearly show the path taken by the emergent ray.
Answer: ic = 42 for glass. The ray undergoes refraction as it emerges away from the slab.

Question 2: A ray of light moves from a rare medium to a dense medium as shown in the diagram below. Write down the number of the ray which represents the partially reflected ray.

Answer: Ray 2 shows partially reflected ray.
Question 3: In the diagram below, PQ is a ray of light incident on a rectangular glass block.

(i) Copy the diagram and complete the path of the ray of light through the glass block. In your diagram, mark the angle of incidence by letter ‘i’ and the angle of emergence by the letter ‘e’.
(ii) How are the angles ‘i’ and ‘e’ related to each other?
Answer: (i)

(ii) When the incident ray is undergoing minimum deviation the angle of incidence is equal to angle of emergence, i.e., ∠i – ∠e
Question 4: A ray of monochromatic light enters a liquid from air as shown in the diagram given below:

(i) Copy the diagram and show in the diagram the path of the ray of light after it strikes the mirror and re-enters the medium of air.
(ii) Mark in your diagram the two angles on the surface of separation when the ray of light moves out from the liquid to air.
Answer:

Question 5: A ray of monochromatic light is incident from air into a glass slab. Draw a labelled ray diagram indicating the change in its path till it emerges out of the slab. In the diagram, mark the angle of incidence (i) and the angle of refraction (r) at the first interface. How is the refractive index of glass related to the angles i and r?
Answer: The labelled ray diagram is shown in figure.

Question 6: Draw ray of light bending towards the normal while passing from air to glass, and glass to water. Label your diagrams.
Answer:
(i) The ray of light bends towards the normal while passing from air to glass.

(ii) The ray of light bends away from the normal while passing from glass to water.
Question 7: Show the path of a ray of light when it travels from air into water, the angle of incidence being 30°. Mark the angle of incidence and the corresponding angle of refraction.
Answer:

Question 8: A ray of light is moving from a rarer medium to a denser medium and strikes a plane mirror placed at 90° to the direction of the ray as shown in the diagram.

(i) Copy the diagram and mark arrows to show the path of the ray of light after it is reflected from the mirror.
(ii) Name the principle you have used to mark the arrows to show the direction of the ray.
Answer:
(i)
(ii) Principle of reversibility of light.
Question 9: After a robbery, if a window has been broken, there will be tiny particles of glass. Some of these will be found at the scene of the crime and some may be caught in the thief’s clothing. If the police can prove that these particles are identical, they have a strong case.
A method of doing this is to suspend the particles of glass in a special liquid. Light of a single colour is thrown through the liquid and the particles viewed through a microscope. The temperature of the liquid is then slowly altered. This alters the speed of light through the liquid (i.e., it alters the refractive index). At one particular temperature the particles of glass disappear. It this happens at the same temperature for both sets of glass particles, they probably came from the same broken pane of glass.
Complete and copy the diagram to show how light bends when it travels from the liquid to the glass and back to the liquid,
(i) If the light slows down in the glass, (ii) If the light speeds up in the glass.
Answer:

Question 10: Show with the help of a diagram how a total reflecting prism can be used to turn a ray of light through 90°. Name an instrument in which this action of prism is used.
Answer:
The diagram showing the use of a total reflecting prism to turn a ray of light through 90° is given in the figure.

This action of prism is used in periscope
Question 11: Draw a diagram, properly labelled, to illustrate the use of a total reflecting prism (a right angled isosceles prism) to turn a ray of light through 180°. Name an instrument in which this device is used.
Answer: The diagram is shown below. This device is used in binoculars.

Question 12: The figure shows two prisms A and B. A monochromatic ray of light PO is incident at the face of the prism A. Complete the diagram to show the path of the ray till it emerges out of the prism B.

Answer: See figure

Question 13: Draw a diagram to show the refraction of a monochromatic light ray through an equilateral prism. On the diagram, label the incident, refracted and emergent rays. Also indicate the angle of deviation by the letter δ.
Answer:
The labelled diagram is given below:

Question 14: How does the angle of deviation produced by a prism depends on the angle of incidence of light at the prism surface? Draw a graph to illustrate your answer.
Answer: First the angle of deviation produced by prism decreases with the increasing angle of incidence but on further increasing the angle of incidence the angle of deviation increases. Figure given in side shows the graph for variation of angle of deviation with the angle of incidence.

Question 15:
(i) In the diagram alongside a ray of light PQ is incident normally on one face AB of an equilateral glass prism. What are the angle of incidence at the faces AB and AC?

(ii) Complete the ray diagram showing its emergence into air after passing through the prism.
Answer: (i) ∠ of incidence of face AB = 0°
∠ of incidence of face AC = 60°

Question 16:
A ray of light enters a glass slab ABCD as shown in the figure. The critical angle of glass is 42°.

Complete the path of the ray till it emerges from the slab. Mark the angles in the diagram wherever necessary.
Answer: The completed ray diagram is shown in figure given below:

Question 17:
Two parallel rays of Red and Violet travelling through air, meet the air-glass boundary as shown in the above figure. Will their paths inside the glass be parallel? Give a reason for your answer.

Answer: No.
Reason: Deviation suffered by each ray will be different because refractive index is different for different colours of light.
Question 18:
Light passes through a rectangular glass slab and through a triangular glass prism. In what way does the direction of the two emergent beams differ and why?
Answer: In rectangular glass slab the ray undergoes only refraction and emerges out parallel. In a prism the emerging ray is not parallel but split due to change in wavelength of different colour of light. The shape of the glass slab with two prisms up and down splits light but recombines it into one.


Question 19: A ray of monochromatic light is incident from air on a glass slab:
(i) Draw a labelled ray diagram showing the change in the path of the ray till it emerges from the glass slab.
(ii) Name the two rays that are parallel to each other.
(iii) Mark the lateral displacement in your diagram.
Answer:
(i) 
(ii) Incident ray and emergent rays are parallel to each other.
(iii) Lateral displacement is marked by d in the diagram.
Question 20: (i) With the help of a well-labelled diagram show that the apparent depth of an object, such as a coin, in water is less than its real depth.
(ii) How is the refractive index of water related to the real depth and the apparent depth of a column of water?
Answer: (i) AB = Apparent depth
AC = Real depth.

Figure Based Long Answers
Question 1: How will you verify the laws of refraction or how the refractive index of glass is determined in the laboratory?
Answer: Place a white sheet of paper on a drawing board. Put a rectangular slab of glass on this white sheet and trace out its boundary ABCD. At any point R on the edge AB, draw a normal NN’. Draw an incident ray PR at any angle say 30°. Fix two pins P1 and P2 vertically on the line PR and at a distance not less than 3 cm from each other. Looking through the other side of the block, fix two pins, P3 and P4 vertically on the white sheet, such that all the four pins P1, P2, P3 and P4 appear to be in a straight line as seen through the glass block. Mark the pin points with a fine pencil, remove the block and join the points P3 and P4 by the straight line RS.

PR represents the incident ray and RS represents the refracted ray. ∠PRN and ∠KRN’ are respectively angles of incidence and refraction.
With R as centre and convenient radius, draw a circle cutting the incident ray at Q and the refracted ray at Q’.


Question 2: The diagram, shows a point source P inside a water container. Three rays A, B and C starting from P are shown up to the water surface. Show in the diagram the path of these rays after striking the water surface. The critical angle for water-air pair is 48°.

Answer:

Question 3: The diagram shows the path of a ray of light through a rectangular glass block placed in a liquid of uniform density.

(i) (a) Does the light speed up or slow down in glass, (b) Give reason for your answer.
(ii) What is the angular, deviation of the emergent ray from the glass block with respect to the incident ray?
(iii) Show with the help of a ray diagram the path of the ray when incident ray normally falls on the first surface of the glass block and passes through the block and the liquid.
(iv) What should be the rate of the speed of light through the liquid to the speed through glass so that there is no refraction of light at the boundaries of the glass block when the system is illuminated by light of one colour?
Answer:

Since the refractive index in glass is usually higher than that of liquid, hence the speed of light in glass will be less.
(ii) As shown by line in the diagram, the emergent ray is parallel to the incident ray (when produced) and so there is no angular deviation.
(iii) See the diagram.

(iv) Since there is no refraction of light at the boundaries of the glass block, it is possible only when the speed of light through the liquid as well as through the block is the same. Hence the ratio between the speed of light through the liquid to the speed of light through glass must be 1 (one).
Question 4: Trace a ray of light incident at 30° on a surface if travelling (i) from air to glass (ii) from glass to air. What is the angle of refraction in each case? (R.I. for glass = 3/2).
Answer:



Question 5: Explain with the help of a diagram how fish is able to see the objects above it.
Answer: A fish can see everything above it in clear water irrespective of its position in different depth. The critical angle for water is 48.5°. The angle of the cone of vision for the fish is twice of this angle.

Hence it is 97°. All the objects outside water but in this cone of vision Will be seen by the fish. Outside this range the fish will see all the objects in the surrounding area (see figure). Those objects which are at the bottom will be seen by the fish due to total internal reflection taking place at the water-air interface.
Question 6: Draw a diagram of a prism and label:
(i) the base,
(ii) the refracting surfaces,
(iii) the refracting edge,
(iv) the refracting angle in it.
Answer:

Figure shows a prism, in which BEFC is the refracting edge and ∠BAC or ∠EDF is the refracting angle of prism which has been marked by the symbol A.
Question 7:
(i) A ray of light passes through a right angled prism as shown in the figure. State the angles of incidence at the faces AC and BC.
(ii) Calculate the velocity of light in a glass block of refractive index 1.5. (Velocity of light in air = 3 × 108 m/s)

Solution:


Question 8:
Complete the following diagrams to show the path of the ray of single colour in each diagram as if enters in and emerges out of the prism. Mark the angles wherever necessary. (Critical angle for glass = 42°).

Answer:The completed diagrams are given below.

Question 9:
The adjacent diagram shows two right-angled isosceles prisms A and B. Complete the diagram to show the path of rays P and Q emerging out of the prism B. What principles have you used to complete the diagram?

Answer: The completed ray diagram is shown in figure.
Following two principles are used to complete the diagram:
(1) A ray of light incident normally on the interface of two media passes undeviated.
(2) A ray of light striking the interface of two media (glass and air) from glass, at an angle of incidence, equal to 45° (which is greater than the critical angle = 42°) suffers total internal reflection.

Question 10: A ray of light PQ is incident normally on the hypotenuse of a right angled prism ABC as shown in the diagram given below:

(i) Copy the diagram and complete the path of the ray PQ till it emerges from the prism.
(ii) What is the value of the angle of deviation of the ray?
(iii) Name an instrument where this action of the prism is used.
Answer:

Question 11: PQ and PR are two light rays emerging from the object as shown in the figure below:

(i) What is the special name given to the angle of incidence (∠PQN) of ray PQ?
(ii) Copy the ray diagram and complete it to show the position of the image of the object P when seen obliquely from above.
(iii) Name the phenomenon that occurs if the angle of incidence ∠PQN is increased still further.
Answer:

Short Numericals
Question 1: The speed of light in air is 3 × 108 ms-1. Calculate the speed of light in water. The refractive index of water is 4/3.
Solution:

Question 2: The velocity of light in diamond is 121000 kms-1. What is its refractive index?
Solution:

Question 3: Write the approximate values of speed of light in (i) air and (ii) glass. Use these values to calculate the refractive index of glass with respect of air.
Solution:
(i) Speed of light in air = 3 × 108 ms-1
(ii) Speed of light in glass = 2 × 108 ms-1

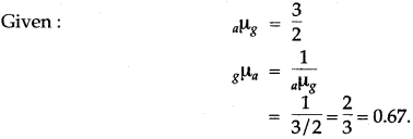
Question 4: The refractive index of glass with respect to air is 3/2. What is the refractive index of air with respect to glass?
Solution:

Question 5: A glass block is having refractive index 3/2, light ray is incident at an angle 45°. Find the sine of angle of, refraction inside the glass block.
Solution:

Question 6:
A coin placed at the bottom of a beaker appears to be raised by 4.0 cm. If the refractive index of water is 4/3, find the depth of the water in the beaker.
Solution:

Question 7: A ray of light is incident on a glass surface at an angle of 50° with the corresponding angle of refraction 30°. Find the value of the R.I. of glass.
Solution:

Question 8: (i) The refractive index of glass with respect to air is 1.5. What is the value of the refractive index of air with respect to glass?
(ii) A ray of light is incident as a normal ray on the surface of separation of two different mediums. What is the value of the angle of incidence in this case?
Solution:

For More Resources