NCERT Solutions for Class 10 Maths Chapter 5 Arithmetic Progressions Ex 5.3 are part of
NCERT Solutions for Class 10 Maths. Here are we have given Chapter 5 Arithmetic Progressions Class 10 NCERT Solutions Ex 5.3.
- Arithmetic Progressions Class 10 Ex 5.1
- Arithmetic Progressions Class 10 Ex 5.2
- Arithmetic Progressions Class 10 Ex 5.4
| Board | CBSE |
| Textbook | NCERT |
| Class | Class 10 |
| Subject | Maths |
| Chapter | Chapter 5 |
| Chapter Name | Arithmetic Progressions |
| Exercise | Ex 5.3 |
| Number of Questions Solved | 20 |
| Category | NCERT Solutions |
NCERT Solutions for Class 10 Maths Chapter 5 Arithmetic Progressions Ex 5.3
Page No: 112
Question 1. Find the sum of the following APs.
(i) 2, 7, 12 ,…., to 10 terms.
(ii) − 37, − 33, − 29 ,…, to 12 terms
(iii) 0.6, 1.7, 2.8 ,…….., to 100 terms
(iv) 1/15, 1/12, 1/10, …… , to 11 terms
Solution :
(i) 2, 7, 12 ,…, to 10 terms
For this AP,
a = 2
d = a2 – a1 = 7 – 2 = 5
n = 10
We know that,

(ii) –37, –33, –29 ,…, to 12 terms
For this AP,
a = –37
d = a2 – a1 = (–33) – (–37)
= – 33 + 37 = 4
n = 12
We know that,

(iii) 0.6, 1.7, 2.8 ,…, to 100 terms
For this AP,
a = 0.6
d = a2 – a1 = 1.7 – 0.6 = 1.1
n = 100
We know that,



Concepts Insight: In order to find the sum of first n terms using Sn = n/2 [2a + (n -1)d] ,first term, common difference and the number of terms is needed. Common difference is the difference in consecutive terms of an AP.
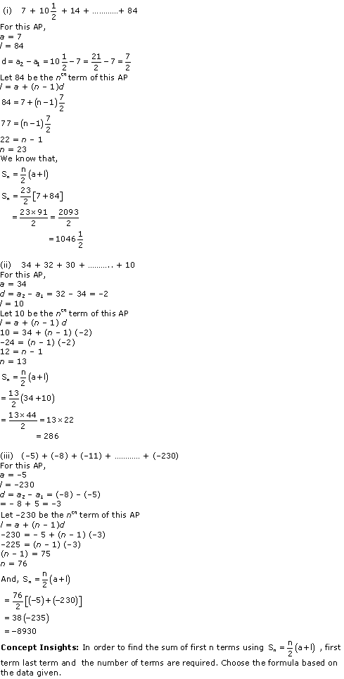
Question 2. Find the sums given below
(i) 7 + 10×1/2 + 14 + ……………… +84
(ii)+ 14 + ………… + 84
(ii) 34 + 32 + 30 + ……….. + 10
(iii) − 5 + (− 8) + (− 11) + ………… + (− 230)
Solution :

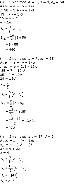
Question 3. In an AP
(i) Given a = 5, d = 3, an = 50, find n and Sn.
(ii) Given a = 7, a13 = 35, find d and S13.
(iii) Given a12 = 37, d = 3, find a and S12.
(iv) Given a3 = 15, S10 = 125, find d and a10.
(v) Given d = 5, S9 = 75, find a and a9.
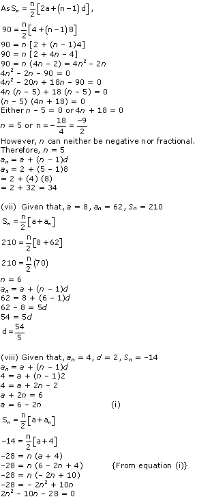
(vi) Given a = 2, d = 8, Sn = 90, find n and an.
(vii) Given a = 8, an = 62, Sn = 210, find n and d.
(viii) Given an = 4, d = 2, Sn = − 14, find n and a.
(ix) Given a = 3, n = 8, S = 192, find d.
(x) Given l = 28, S = 144 and there are total 9 terms. Find a.
Solution :




Page No: 113
Question 4. How many terms of the AP. 9, 17, 25 … must be taken to give a sum of 636?
Solution :

Question 5. The first term of an AP is 5, the last term is 45 and the sum is 400. Find the number of terms and the common difference.
Solution :

Question 6. The first and the last term of an AP are 17 and 350 respectively. If the common difference is 9, how many terms are there and what is their sum?
Solution :

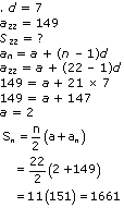
Question 7. Find the sum of first 22 terms of an AP in which d = 7 and 22nd term is 149.
Solution :

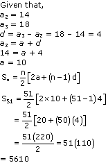
Question 8. Find the sum of first 51 terms of an AP whose second and third terms are 14 and 18 respectively.
Solution :

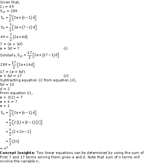
Question 9. If the sum of first 7 terms of an AP is 49 and that of 17 terms is 289, find the sum of first n terms.
Solution :

Question 10. Show that a1, a2 … , an , … form an AP where an is defined as below
(i) an = 3 + 4n
(ii) an = 9 − 5n
Also find the sum of the first 15 terms in each case.
Solution :
(i)

(ii)

Question 11. If the sum of the first n terms of an AP is 4n − n2, what is the first term (that is S1)? What is the sum of first two terms? What is the second term? Similarly find the 3rd, the10th and the nth terms.
Solution :

Question 12. Find the sum of first 40 positive integers divisible by 6.
Solution :

Question 13. Find the sum of first 15 multiples of 8.
Solution :

Question 14. Find the sum of the odd numbers between 0 and 50.
Solution :

Question 15. A contract on construction job specifies a penalty for delay of completion beyond a certain dateas follows: Rs. 200 for the first day, Rs. 250 for the second day, Rs. 300 for the third day, etc., the penalty for each succeeding day being Rs. 50 more than for the preceding day. How much money the contractor has to pay as penalty, if he has delayed the work by 30 days.
Solution :

Question 16. A sum of Rs 700 is to be used to give seven cash prizes to students of a school for their overall academic performance. If each prize is Rs 20 less than its preceding prize, find the value of each of the prizes.
Solution :

Question 17. In a school, students thought of planting trees in and around the school to reduce air pollution. It was decided that the number of trees, that each section of each class will plant, will be the same as the class, in which they are studying, e.g., a section of class I will plant 1 tree, a section of class II will plant 2 trees and so on till class XII. There are three sections of each class. How many trees will be planted by the students?
Solution :

Question 18. A spiral is made up of successive semicircles, with centres alternately at A and B, starting with centre at A of radii 0.5, 1.0 cm, 1.5 cm, 2.0 cm, ……… as shown in figure. What is the total length of such a spiral made up of thirteen consecutive semicircles? (Take π = 22/7)

Solution :

Page No: 114
Question 19. 200 logs are stacked in the following manner: 20 logs in the bottom row, 19 in the next row, 18 in the row next to it and so on. In how many rows are the 200 logs placed and how many logs are in the top row?

Solution :

Question 20. In a potato race, a bucket is placed at the starting point, which is 5 m from the first potato and other potatoes are placed 3 m apart in a straight line. There are ten potatoes in the line.

A competitor starts from the bucket, picks up the nearest potato, runs back with it, drops it in the bucket, runs back to pick up the next potato, runs to the bucket to drop it in, and she continues in the same way until all the potatoes are in the bucket. What is the total distance the competitor has to run?
Solution :
We hope the NCERT Solutions for Class 10 Maths Chapter 5 Arithmetic Progressions Ex 5.3 help you. If you have any query regarding NCERT Solutions for Class 10 Maths Chapter 5 Arithmetic Progressions Ex 5.3, drop a comment below and we will get back to you at the earliest.