In this article, we have provided step by step Chapter 5 Ex 5.2 Class 10 Maths NCERT Solutions.
NCERT Solutions for Class 10 Maths Chapter 5 Arithmetic Progressions Ex 5.2 are part of
NCERT Solutions for Class 10 Maths. Here are we have given Chapter 5 Arithmetic Progressions Class 10 NCERT Solutions Ex 5.2.
- Arithmetic Progressions Class 10 Ex 5.1
- Arithmetic Progressions Class 10 Ex 5.3
- Arithmetic Progressions Class 10 Ex 5.4
| Board | CBSE |
| Textbook | NCERT |
| Class | Class 10 |
| Subject | Maths |
| Chapter | Chapter 5 |
| Chapter Name | Arithmetic Progressions |
| Exercise | Ex 5.2 |
| Number of Questions Solved | 20 |
| Category | NCERT Solutions |
NCERT Solutions for Class 10 Maths Chapter 5 Arithmetic Progressions Ex 5.2
You can also Read Latest NCERT Solutions for Class 10 Maths Chapter-wise to help you to revise the complete Syllabus and score more marks in your examinations.
Page No: 105
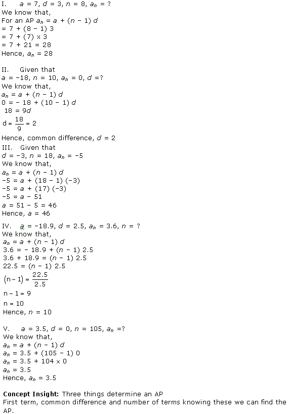
Question 1. Fill in the blanks in the following table, given that a is the first term, d the common difference and an the nth term of the A.P.

Solution :

Question 2. Choose the correct choice in the following and justify
(i) 30th term of the A.P: 10, 7, 4, …, is
(A) 97 (B) 77 (C) −77 (D.) −87
(ii) 11th term of the A.P. -3, -1/2, ,2 …. is
(A) 28 (B) 22 (C) – 38 (D) -48×1/2
Solution :

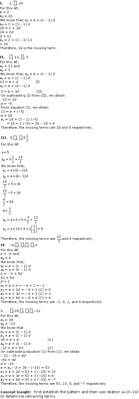
Question 3. In the following APs find the missing term in the boxes.

Solution :

Question 4. Which term of the A.P. 3, 8, 13, 18, … is 78?
Solution :

Question 5. Find the number of terms in each of the following A.P.

Solution :

Question 6. Check whether -150 is a term of the A.P. 11, 8, 5, 2, …
Solution :

Question 7. Find the 31st term of an A.P. whose 11th term is 38 and the 16thterm is 73.
Solution :

Question 8. An A.P. consists of 50 terms of which 3rd term is 12 and the last term is 106. Find the 29th term.
Solution :

Question 9. If the 3rd and the 9th terms of an A.P. are 4 and − 8 respectively. Which term of this A.P. is zero.
Solution :

Question 10. If 17th term of an A.P. exceeds its 10th term by 7. Find the common difference.
Solution :

Question 11. Which term of the A.P. 3, 15, 27, 39, … will be 132 more than its 54th term?
Solution :

Question 12. Two APs have the same common difference. The difference between their 100th term is 100, what is the difference between their 1000th terms?
Solution :

Question 13. How many three digit numbers are divisible by 7?
Solution :

Question 14. How many multiples of 4 lie between 10 and 250?
Solution :

Question 15. For what value of n, are the nth terms of two APs 63, 65, 67, and 3, 10, 17, … equal?
Solution :

Question 16. Determine the A.P. whose third term is 16 and the 7th term exceeds the 5th term by 12.
Solution :

Page No: 107
Question 17. Find the 20th term from the last term of the A.P. 3, 8, 13, …, 253.
Solution :

Question 18. The sum of 4th and 8th terms of an A.P. is 24 and the sum of the 6th and 10th terms is 44. Find the first three terms of the A.P.
Solution :

Question 19. Subba Rao started work in 1995 at an annual salary of Rs 5000 and received an increment of Rs 200 each year. In which year did his income reach Rs 7000?
Solution :

Question 20. Ramkali saved Rs 5 in the first week of a year and then increased her weekly saving by Rs 1.75. If in the nth week, her week, her weekly savings become Rs 20.75, find n.
Solution :

We hope the NCERT Solutions for Class 10 Maths Chapter 5 Arithmetic Progressions Ex 5.2 help you. If you have any query regarding NCERT Solutions for Class 10 Maths Chapter 5 Arithmetic Progressions Ex 5.2, drop a comment below and we will get back to you at the earliest.