NCERT Solutions for Class 10 Maths Chapter 5 Arithmetic Progressions Ex 5.1 are part of
NCERT Solutions for Class 10 Maths. Here are we have given Chapter 5 Arithmetic Progressions Class 10 NCERT Solutions Ex 5.1.
Here you get the CBSE Class 10 Mathematics chapter 5, Arithmetic Progressions: NCERT Exemplar problems are a very good resource for preparing the critical questions like Higher Order Thinking Skill questions. All these questions are very important to prepare for CBSE Class 10 Mathematics Board Examination as well as other competitive exams.
- Arithmetic Progressions Class 10 Ex 5.2
- Arithmetic Progressions Class 10 Ex 5.3
- Arithmetic Progressions Class 10 Ex 5.4
| Board | CBSE |
| Textbook | NCERT |
| Class | Class 10 |
| Subject | Maths |
| Chapter | Chapter 5 |
| Chapter Name | Arithmetic Progressions |
| Exercise | Ex 5.1 |
| Number of Questions Solved | 4 |
| Category | NCERT Solutions |
NCERT Solutions for Class 10 Maths Chapter 5 Arithmetic Progressions Ex 5.1
Page No: 99
Question 1.
In which of the following situations, does the list of numbers involved make as arithmetic progression and why?
(i) The taxi fare after each km when the fare is Rs 15 for the first km and Rs 8 for each additional km.
(ii) The amount of air present in a cylinder when a vacuum pump removes 1/4 of the air remaining in the cylinder at a time.
(iii) The cost of digging a well after every metre of digging, when it costs Rs 150 for the first metre and rises by Rs 50 for each subsequent metre.
(iv) The amount of money in the account every year, when Rs 10000 is deposited at compound interest at 8% per annum.
Solution :

Concept Insight: To crack such problems read the question carefully, analyse and then write the data the initial value changes in a particular pattern. But the sequence represents an arithmetic progression if the difference of any two consecutive terms is constant.
Question 2.
Write first four terms of the A.P. when the first term a and the common difference d are given as follows
(i) a = 10, d = 10
(ii) a = -2, d = 0
(iii) a = 4, d = – 3
(iv) a = -1 d = 1/2
(v) a = – 1.25, d = – 0.25
Solution :

Concept Insight: Remember the basic definition of an AP it can be generated given its first term and common difference by adding the common difference to the previous term i.e a,a+d,a+2d,….a+(n-1)d.
Question 3. For the following A.P.s, write the first term and the common difference.
(i) 3, 1, – 1, – 3 …
(ii) -5, – 1, 3, 7 …
(iii) 1/3, 5/3, 9/3, 13/3 ….
(iv) 0.6, 1.7, 2.8, 3.9 …
Solution :

Concept Insight: Remember the basic definition of an AP common difference is the difference of consecutive terms, other terms can be generated by following general pattern a,a+d,a+2d,…. a+(n-1)d
Question 4.
Which of the following are APs? If they form an A.P. find the common difference d and write three more terms.
(i) 2, 4, 8, 16 …
(ii) 2, 5/2, 3, 7/2 ….
(iii) -1.2, -3.2, -5.2, -7.2 …
(iv) -10, – 6, – 2, 2 …
(v) 3, 3 + √2, 3 + 2√2, 3 + 3√2
(vi) 0.2, 0.22, 0.222, 0.2222 ….
(vii) 0, – 4, – 8, – 12 …
(viii) -1/2, -1/2, -1/2, -1/2 ….
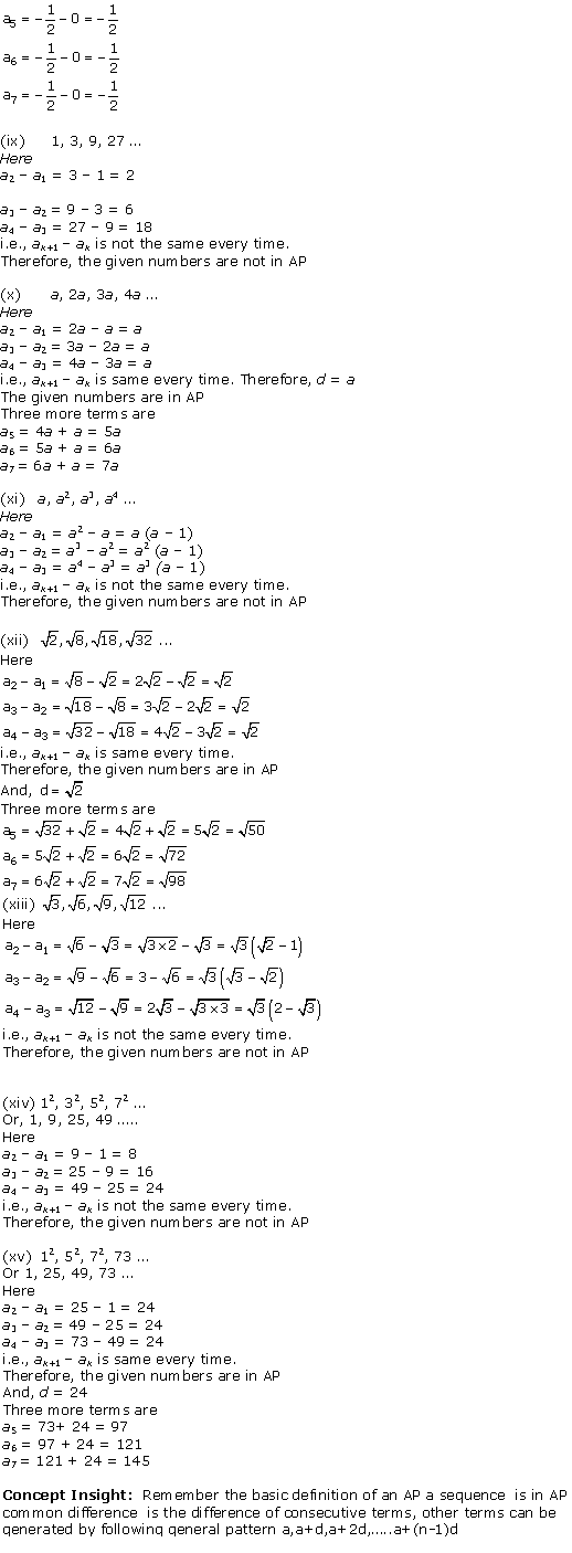
(ix) 1, 3, 9, 27 …
(x) a, 2a, 3a, 4a …
(xi) a, a2, a3, a4 …
(xii) √2, √8, √18, √32 …
(xiii) √3, √6, √9, √12 …
(xiv) 12, 32, 52, 72 …
(xv) 12, 52, 72, 73 …
Solution :


NCERT Solutions For Class 10 Maths – AplusTopperhttps://t.co/q7hSKh3xmf#NCERTSolutionsForClass10Maths #NCERTSolutions #AplusTopper
— ObulReddy cbse (@ObulReddyCBSE) August 3, 2018
We hope the NCERT Solutions for Class 10 Maths Chapter 5 Arithmetic Progressions Ex 5.1 help you. If you have any query regarding NCERT Solutions for Class 10 Maths Chapter 5 Arithmetic Progressions Ex 5.1, drop a comment below and we will get back to you at the earliest.