• ICSE Solutions
    • ICSE Solutions for Class 10
    • ICSE Solutions for Class 9
    • ICSE Solutions for Class 8
    • ICSE Solutions for Class 7
    • ICSE Solutions for Class 6
  • Selina Solutions
  • ML Aggarwal Solutions
  • ISC & ICSE Papers
    • ICSE Previous Year Question Papers Class 10
    • ISC Previous Year Question Papers
    • ICSE Specimen Paper 2021-2022 Class 10 Solved
    • ICSE Specimen Papers 2020 for Class 9
    • ISC Specimen Papers 2020 for Class 12
    • ISC Specimen Papers 2020 for Class 11
    • ICSE Time Table 2020 Class 10
    • ISC Time Table 2020 Class 12
  • Maths
    • Merit Batch

A Plus Topper

Improve your Grades

  • CBSE Sample Papers
  • HSSLive
    • HSSLive Plus Two
    • HSSLive Plus One
    • Kerala SSLC
  • Exams
  • Syllabus
    • B.E Mechanical Engineering Syllabus
    • B.E CIVIL Engineering Syllabus
    • B.E Electrical and Electronics Engineering Syllabus
    • B.E Computer Science and Engineering Syllabus
  • Textbook Answers
  • Chemistry
  • Physics
  • ICSE Books

ML Aggarwal ICSE Solutions for Class 8 Maths Chapter 13 Understanding Quadrilaterals

October 21, 2024 by Veerendra

  1. ML Aggarwal ICSE

ML Aggarwal ICSE Solutions for Class 8 Maths Chapter 13 Understanding Quadrilaterals

ML Aggarwal SolutionsICSE SolutionsSelina ICSE Solutions

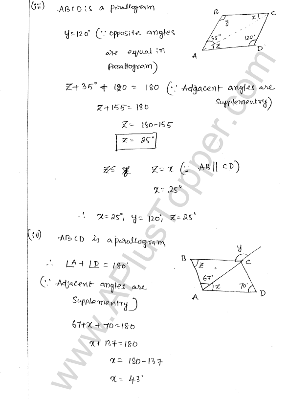
ML Aggarwal ICSE Solutions for Class 8 Maths Chapter 13 Understanding Quadrilaterals 1

ML Aggarwal ICSE Solutions for Class 8 Maths Chapter 13 Understanding Quadrilaterals 2
ML Aggarwal ICSE Solutions for Class 8 Maths Chapter 13 Understanding Quadrilaterals 3
ML Aggarwal ICSE Solutions for Class 8 Maths Chapter 13 Understanding Quadrilaterals 4
ML Aggarwal ICSE Solutions for Class 8 Maths Chapter 13 Understanding Quadrilaterals 5

ML Aggarwal ICSE Solutions for Class 8 Maths Chapter 13 Understanding Quadrilaterals 6
ML Aggarwal ICSE Solutions for Class 8 Maths Chapter 13 Understanding Quadrilaterals 7
ML Aggarwal ICSE Solutions for Class 8 Maths Chapter 13 Understanding Quadrilaterals 8
ML Aggarwal ICSE Solutions for Class 8 Maths Chapter 13 Understanding Quadrilaterals 9

ML Aggarwal ICSE Solutions for Class 8 Maths Chapter 13 Understanding Quadrilaterals 10
ML Aggarwal ICSE Solutions for Class 8 Maths Chapter 13 Understanding Quadrilaterals 11
ML Aggarwal ICSE Solutions for Class 8 Maths Chapter 13 Understanding Quadrilaterals 12
ML Aggarwal ICSE Solutions for Class 8 Maths Chapter 13 Understanding Quadrilaterals 13

ML Aggarwal ICSE Solutions for Class 8 Maths Chapter 13 Understanding Quadrilaterals 14
ML Aggarwal ICSE Solutions for Class 8 Maths Chapter 13 Understanding Quadrilaterals 15
ML Aggarwal ICSE Solutions for Class 8 Maths Chapter 13 Understanding Quadrilaterals 16
ML Aggarwal ICSE Solutions for Class 8 Maths Chapter 13 Understanding Quadrilaterals 17

ML Aggarwal ICSE Solutions for Class 8 Maths Chapter 13 Understanding Quadrilaterals 18
ML Aggarwal ICSE Solutions for Class 8 Maths Chapter 13 Understanding Quadrilaterals 19
ML Aggarwal ICSE Solutions for Class 8 Maths Chapter 13 Understanding Quadrilaterals 20
ML Aggarwal ICSE Solutions for Class 8 Maths Chapter 13 Understanding Quadrilaterals 21

ML Aggarwal ICSE Solutions for Class 8 Maths Chapter 13 Understanding Quadrilaterals 22
ML Aggarwal ICSE Solutions for Class 8 Maths Chapter 13 Understanding Quadrilaterals 23
ML Aggarwal ICSE Solutions for Class 8 Maths Chapter 13 Understanding Quadrilaterals 24
ML Aggarwal ICSE Solutions for Class 8 Maths Chapter 13 Understanding Quadrilaterals 25

ML Aggarwal ICSE Solutions for Class 8 Maths Chapter 13 Understanding Quadrilaterals 26
ML Aggarwal ICSE Solutions for Class 8 Maths Chapter 13 Understanding Quadrilaterals 27
ML Aggarwal ICSE Solutions for Class 8 Maths Chapter 13 Understanding Quadrilaterals 28
ML Aggarwal ICSE Solutions for Class 8 Maths Chapter 13 Understanding Quadrilaterals 29

ML Aggarwal ICSE Solutions for Class 8 Maths Chapter 13 Understanding Quadrilaterals 30
ML Aggarwal ICSE Solutions for Class 8 Maths Chapter 13 Understanding Quadrilaterals 31
ML Aggarwal ICSE Solutions for Class 8 Maths Chapter 13 Understanding Quadrilaterals 32
ML Aggarwal ICSE Solutions for Class 8 Maths Chapter 13 Understanding Quadrilaterals 33


ML Aggarwal ICSE Solutions ML Aggarwal Solutions icse maths book for class 8 solved m.l. aggarwal maths for class 8 icse ml aggarwal class 8 solutions pdf download ML Aggarwal ICSE Solutions for Class 8 Maths ml aggarwal maths for class 8 solutions ml aggarwal maths for class 8 solutions pdf download understanding icse mathematics class 8 ml aggarwal pdf

Primary Sidebar

Recent Articles

  • AS3301-Elements-of-Aerospace-Engineering-Syllabus-Regulation-2021-Anna-University
    AS3301 - Elements of Aerospace Engineering Syllabus Regulat…
  • AS3302-Flight-Systems-Syllabus-Regulation-2021-Anna-University
    AS3302 - Flight Systems Syllabus Regulation 2021 Anna Unive…
  • Southern-Utah-University-Tuition
    Southern Utah University Tuition and Financial Aid
  • Millersville-University-of-Pennsylvania-Tuition
    Millersville University of Pennsylvania Tuition and Financi…
  • University-of-Arizona-Tuition
    University of Arizona Tuition and Financial Aid
  • PT3501-Plastics-Testing-And-Characterization-Syllabus-Regulation-2021-Anna-University
    PT3501 - Plastics Testing And Characterization Syllabus Reg…

Footer

  • Picture Dictionary
  • English Speech
  • English Slogans
  • English Letter Writing
  • English Essay Writing
  • English Textbook Answers
  • Types of Certificates
  • ICSE Solutions
  • Selina ICSE Solutions
  • ML Aggarwal Solutions
  • HSSLive Plus One
  • HSSLive Plus Two
  • Kerala SSLC
  • Distance Education
Disclaimer Privacy Policy
Area Volume Calculator