Nirmala


Articles by Nirmala

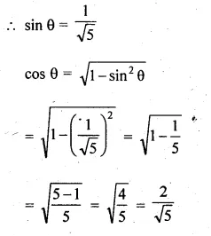
ML-Aggarwal-Class-10-Solutions-for-ICSE-Maths-Chapter-19-Trigonometric-Identities-Chapter-Test-Q1

Trigonometric Identities Class 10 ICSE ML Aggarwal Chapter Test

ML Aggarwal Class 10 Solutions Trigonometric Identities Chapter TestThese Solutions are part of ML Aggarwal Class 10 Solutions for ICSE Maths. Here we...

ML-Aggarwal-Class-10-Solutions-for-ICSE-Maths-Chapter-16-Circles-Chapter-Test-Q1

Circles Class 10 ICSE ML Aggarwal Chapter Test

ML Aggarwal Class 10 Solutions Circles Chapter TestThese Solutions are part of ML Aggarwal Class 10 Solutions for ICSE Maths. Here we have given ML Ag...

ML-Aggarwal-Class-10-Solutions-for-ICSE-Maths-Chapter-15-Locus-Chapter-Test-Q1

Locus Class 10 ICSE ML Aggarwal Chapter Test

ML Aggarwal Class 10 Solutions Locus Chapter TestThese Solutions are part of ML Aggarwal Class 10 Solutions for ICSE Maths. Here we have given ML Agga...

ML-Aggarwal-Class-10-Solutions-for-ICSE-Maths-Chapter-14-Similarity-Chapter-Test-Q1

Similarity Class 10 ICSE ML Aggarwal Chapter Test

ML Aggarwal Class 10 Solutions Similarity Chapter TestThese Solutions are part of ML Aggarwal Class 10 Solutions for ICSE Maths. Here we have given ML...

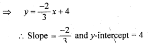
ML-Aggarwal-Class-10-Solutions-for-ICSE-Maths-Chapter-12-Equation-of-a-Straight-Line-Chapter-Test-Q2

Equation of a Straight Line Class 10 ICSE ML Aggarwal Chapter Test

ML Aggarwal Class 10 Solutions Equation of a Straight Line Chapter TestThese Solutions are part of ML Aggarwal Class 10 Solutions for ICSE Maths. Here...

ML-Aggarwal-Class-9-Solutions-for-ICSE-Maths-Chapter-14-Theorems-on-Area-Q1

Theorems on Area Class 9 ICSE ML Aggarwal

ML Aggarwal Class 9 Solutions Chapter 14 provides comprehensive guidance and step-by-step explanations for the concepts covered in this chapter Class ...

ML-Aggarwal-Class-10-Solutions-for-ICSE-Maths-Chapter-11-Section-Formula-Chapter-Test-Q1

Section Formula Class 10 ICSE ML Aggarwal Chapter Test

ML Aggarwal Class 10 Solutions Section Formula Chapter TestThese Solutions are part of ML Aggarwal Class 10 Solutions for ICSE Maths. Here we have giv...

ML-Aggarwal-Class-9-Solutions-for-ICSE-Maths-Chapter-11-Mid-Point-Theorem-Q1

Mid Point Theorem Class 9 ICSE ML Aggarwal

ML Aggarwal Class 9 Solutions Chapter 11 provides comprehensive guidance and step-by-step explanations for the concepts covered in this chapter Class ...

ML-Aggarwal-Class-10-Solutions-for-ICSE-Maths-Chapter-9-Matrices-Chapter-Test-Q2

Matrices Class 10 ICSE ML Aggarwal Chapter Test

ML Aggarwal Class 10 Solutions Matrices Chapter TestThese Solutions are part of ML Aggarwal Class 10 Solutions for ICSE Maths. Here we have given ML A...

ML-Aggarwal-Class-10-Solutions-for-ICSE-Maths-Chapter-8-Ratio-and-Proportion-Chapter-Test-Q1

Ratio and Proportion Class 10 ICSE ML Aggarwal Chapter Test

ML Aggarwal Class 10 Solutions Ratio and Proportion Chapter TestThese Solutions are part of ML Aggarwal Class 10 Solutions for ICSE Maths. Here we ha...