Trigonometry – ICSE Solutions for Class 10 Mathematics
ICSE SolutionsSelina ICSE Solutions
Get ICSE Solutions for Class 10 Mathematics Chapter 18 Trigonometry for ICSE Board Examinations on APlusTopper.com. We provide step by step Solutions for ICSE Mathematics Class 10 Solutions Pdf. You can download the Class 10 Maths ICSE Textbook Solutions with Free PDF download option.
Download Formulae Handbook For ICSE Class 9 and 10
Formulae


Determine the Following

Question 2. Without using tables evaluate
![]()


Question 4. Without using trigonometric tables, evaluate





Question 9. From trigonometric tables, write the values of:

Question 10. The string of a kite is 150 m long and it makes an angle of 60° with the horizontal. Find the height of the kite from the ground.

Question 11. Solve the following equations:



Question 12. Using trigonometric tables evaluate the following:


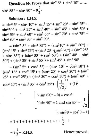
Prove the Following

















![]()


















































































Figure Based Questions
Question 1. In figures, find the length CF.

Question 2. With reference to the figure given alongside, a man stands on the ground at a point A, which is on the same horizontal plane as B, the foot of a vertical pole BC. The height of the pole is 10 m. The man’s eye is 2 m above the ground. He observes the angle of elevation at C, the top of the pole as x°, where tan x° = 2/5.


Question 3. From the top of a tower 60 m high, the angles of depression of the top and bottom of pole are observed to be 45° and 60° respectively. Find the height of the pole.

Question 4. In triangle ABC, AB = 12 cm, LB = 58°, the perpendicular from A to BC meets it at D. The bisector of angle ABC meets AD at E. Calculate:
(i) The length of BD;
(ii) The length of ED.
Give your answers correct to one decimal place.

Question 5. From the top of a light house 100 m high the angles of depression of two ships on opposite sides of it are 48° and 36° respectively. Find the distance between the two ships to the nearest metre.



Concept Based Questions


Question 2. From a light house, the angles of depression of two ships on opposite sides of the light house were observed to be 30° and 45°. If the height of the light house is 90 metres and the line joining the two ships passes through the foot of the light house, find the distance between the two ships, correct to two decimal places.

Question 3. A man on the deck of a ship is 10 m above water level. He observes that the angle of elevation of the top of a cliff is 42° and the angle of depression of the base is 20°. Calculate the distance of the cliff from the ship and the height of the cliff.


Question 4. A man observes the angle of elevation of the top of a building to be 30°. He walks towards it in a horizontal line through its base. On covering 60 m the angle of elevation changes to 60°. Find the height of the building correct to the nearest metre.


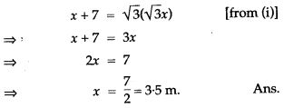
Question 5. A vertical tower stands on a horizontal plane and is surmounted by a flagstaff of height 7 metres. At a point in a plane the angle of elevation of the bottom and the top of the flagstaff are respectively 30° and 60°. Find the height of the tower.


Question 6. A pole being broken by the wind the top struck the ground at an angle of 30° and at a distance of 8m from the foot of the pole. Find the whole height of the pole.


Question 7. The shadow of a vertical tower on a level ground increases by 10 m when the altitude of the sun changes from 45° to 30°. Find the height of the tower, correct to two decimal places.


Question 8. A man on the top of vertical observation tower observes a car moving at a uniform speed coming directly towards it. If it takes 12 minutes for the angle of depression to change from 30° to 45°, how soon after this will the car reach the observation tower ? (Give your answer correct to nearest seconds).



Question 9. Two men on either side of a temple 75 m high observed the angle of elevation of the top of the temple to be 30° and 60° respectively. Find the distance between the two men.


Question 10. An aeroplane when 3,000 meters high passes vertically above another aeroplane at an instance when their angles of elevation at the some observation point are 60° and 45° respectively. How many meters higher is the one than the other.

Question 11. From two points A and B on the same side of a building, the angles of elevation of the top of the building are 30° and 60° respectively. If the height of the building is 10 m, find the distance between A and B correct to two decimal places.


Question 12. A man is standing on the deck of a ship, which is 10 m above water level. He observes the angle of elevation of the top of a hill as 60° and the angle of depression of the base of the hill as 30°. Calculate the distance of the hill from the ship and the height of hill.




Question 14. Vertical tower is 20m high. A man standing at some distance from the tower knows that the cosine of the angle of elevation of the top of the tower is 0.53. How far is he standing from the foot of the tower ?


Question 15. Two person standing on the same side of a tower in a straight line with it measure the angle of elevation of the top of the tower as 25° and 50° respectively. If the height of the tower is 70 m find the distance between the two person.


Question 16. As observed from the top of a 80 m tall lighthouse, the angles of depression of two ships on the same side of the light house in horizontal line with its base are 30° and 40° respectively. Find the distance between the two ships. Give your answer correct to the nearest metre.

Question 17. An aeroplane at an altitude of 250 m observes the angle of depression of two Boats on the opposite banks of a river to be 45° and 60° respectively. Find the width of the river. Write the answer correct to the nearest whole number.
Solution: Let the width of the river CD be x,




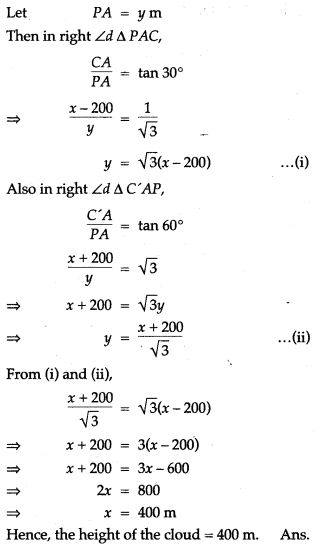
Question 19. (i) The angle of elevation of a cloud from a point 200 metres above a lake is 30° and the angle of depression of its reflection in the lake is 60°. Find the height of the cloud.
(ii) If the angle of elevation of a cloud from a point h meters above a lake is a*and the angle of depression of its reflection in the lake is |i. Prove that the height of the cloud is




Question 20. From the top of a hill, the angles of depression of two consecutive kilometer stones, due east are found to be 30° and 45° respectively. Find the distance of the two stones from the foot of the hill.


Question 21. A man standing on the bank of a river observes that the angle of elevation of a tree on the opposite bank is 60°. When he moves 50 m., away from the bank, he finds the angle of elevation to be 30°. Calculate:


For More Resources