Straight Lines and Slope
The slope of a line, m, is a rate of change which is constant in linear equations.

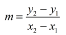
When a line passes through the points (x1, y1) and (x2, y2), the slope, m, is expressed:

Slopes may be positive, negative, zero, or undefined(does not exist).
Positive Slope
Lines that have positive slope, rise from the lower left to the upper right on the axes. They go “up hill”.

Negative Slope
Lines that have negative slope, decline from the upper left to the lower right on the axes. They go “down hill”.

Zero Slope
Lines that are horizontal have a slope of zero.
(There is no “rise” which creates a zero numerator.)

No Slope or Slope Undefined
Lines that are horizontal have a slope of zero.
(There is no “rise” which creates a zero numerator.)
