Solution of First Order Linear Differential Equations
Linear and non-linear differential equations
A differential equation is a linear differential equation if it is expressible in the form

Thus, if a differential equation when expressed in the form of a polynomial involves the derivatives and dependent variable in the first power and there are no product of these, and also the coefficient of the various terms are either constants or functions of the independent variable, then it is said to be linear differential equation. Otherwise, it is a non linear differential equation.
It follows from the above definition that a differential equation will be non-linear differential equation if
- its degree is more than one
- any of the differential coefficient has exponent more than one.
- exponent of the dependent variable is more than one.
- products containing dependent variable and its differential coefficients are present.
Linear differential equation of first order
The general form of a linear differential equation of first order is

which is the required solution, where c is the constant of integration. e∫P dx is called the integrating factor. The solution (ii) in short may also be written as y.(I.F) = ∫Q.(I.F) dx + c.
Linear differential equations of the form \(\frac { dy }{ dx } +Rx=S\)
Sometimes a linear differential equation can be put in the form \(\frac { dy }{ dx } +Rx=S\) where R and S are functions of y or constants. Note that y is independent variable and x is a dependent variable.
Equations reducible to linear form (Bernoulli’s differential equation)
The differential equation of type \(\frac { dy }{ dx } +Py=Q{ y }^{ n }\) …..(i)
Where P and Q are constants or functions of x alone and n is a constant other than zero or unity, can be reduced to the linear form by dividing by yn and then putting y-n+1 = v, as explained below.

Note : If n = 1, then we find that the variables in equation (i) are separable and it can be easily integrated by the method discussed in variable separable from.
Differential equation of the form \(\frac { dy }{ dx } +P\phi (y)=Q\psi (y)\)
\(\frac { dy }{ dx } +P\phi (y)=Q\psi (y)\), where P and Q are functions of x alone or constants.

Which is linear differential equation.
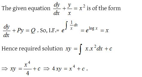
Linear Differential Equations Problems with Solutions
1.

Solution:

2.

Solution:

3.

Solution:

4.

Solution:

5.

Solution:

6.

Solution:

7.

Solution:

8.

Solution:
