Selina Concise Mathematics Class 9 ICSE Solutions Trigonometrical Ratios [Sine, Consine, Tangent of an Angle and their Reciprocals]
ICSE SolutionsSelina ICSE Solutions
APlusTopper.com provides step by step solutions for Selina Concise Mathematics Class 9 ICSE Solutions Chapter 22 Trigonometrical Ratios [Sine, Cosine, Tangent of an Angle and their Reciprocals]. You can download the Selina Concise Mathematics ICSE Solutions for Class 9 with Free PDF download option. Selina Publishers Concise Mathematics for Class 9 ICSE Solutions all questions are solved and explained by expert mathematic teachers as per ICSE board guidelines
Download Formulae Handbook For ICSE Class 9 and 10
Selina ICSE Solutions for Class 9 Maths Chapter 22 Trigonometrical Ratios [Sine, Consine, Tangent of an Angle and their Reciprocals]
Exercise 22(A)
Solution 1:


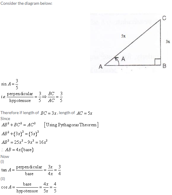
Solution 2:


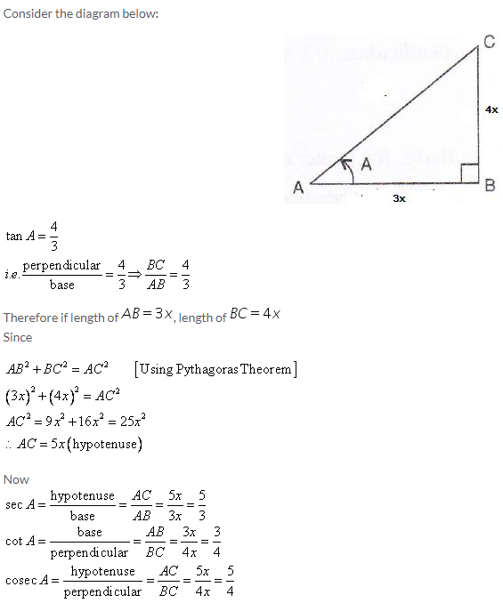
Solution 3:


Solution 4:


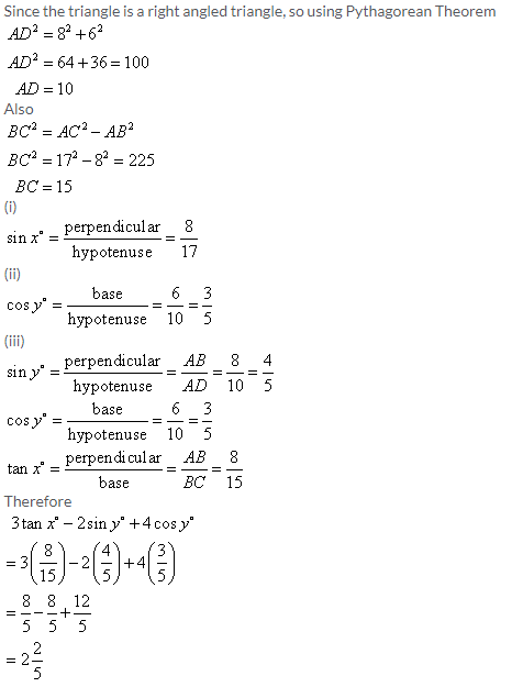
Solution 5:

Solution 6:

Solution 7:


Solution 8:


Solution 9:


Solution 10:


Solution 11:

Solution 12:


Solution 13:


Solution 14:


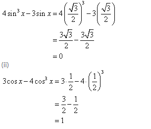
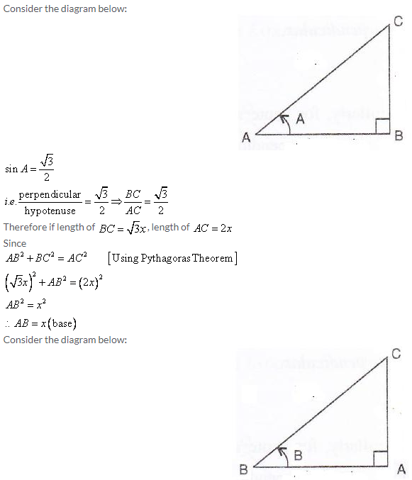
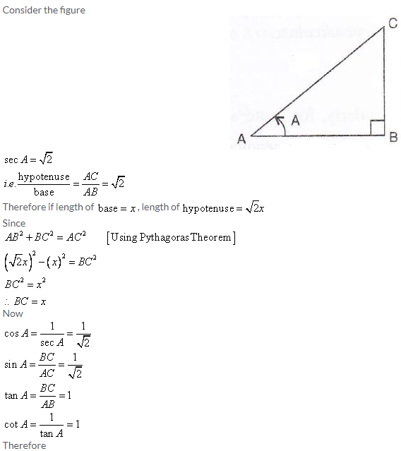
Solution 15:


Solution 16:


Solution 17:


Solution 18:


Solution 19:

Solution 20:


Exercise 22(B)
Solution 1:

Solution 2:


Solution 3:

Solution 4:


Solution 5:

Solution 6:


Solution 7:


Solution 8:

Solution 9:


Solution 10:

Solution 11:


Solution 12:

Solution 13:


Solution 14:

Solution 15:

Solution 16:


Solution 17:


Solution 18:


Solution 19:


Solution 20:


Solution 21:

Solution 22:

Solution 23:


Solution 24:


Solution 25:


Solution 26:


Solution 27:


Solution 28:

Solution 29:

Solution 30:

More Resources for Selina Concise Class 9 ICSE Solutions
- Selina Class 9 Maths Solutions
- Selina ICSE Concise Physics Class 9 Solutions
- Selina Concise Chemistry Class 9 ICSE Solutions
- Selina Concise Biology Class 9 ICSE Solutions