Selina Concise Mathematics Class 9 ICSE Solutions Trigonometrical Ratios of Standard Angles [Including Evaluation of an Expression Involving Trigonometric Ratios]
ICSE SolutionsSelina ICSE Solutions
APlusTopper.com provides step by step solutions for Selina Concise Mathematics Class 9 ICSE Solutions Chapter 23 Trigonometrical Ratios of Standard Angles [Including Evaluation of an Expression Involving Trigonometric Ratios]. You can download the Selina Concise Mathematics ICSE Solutions for Class 9 with Free PDF download option. Selina Publishers Concise Mathematics for Class 9 ICSE Solutions all questions are solved and explained by expert mathematic teachers as per ICSE board guidelines.
Download Formulae Handbook For ICSE Class 9 and 10
Selina ICSE Solutions for Class 9 Maths Chapter 23 Trigonometrical Ratios of Standard Angles [Including Evaluation of an Expression Involving Trigonometric Ratios]
Exercise 23(A)
Solution 1:

Solution 2:

Solution 3:

Solution 4:


Solution 5:

Solution 6:

Solution 7:

Solution 8:

Solution 9:
(i) For acute angles, remember what sine means: opposite over hypotenuse. If we increase the angle, then the opposite side gets larger. That means “opposite/hypotenuse” gets larger or increases.
(ii) For acute angles, remember what cosine means: base over hypotenuse. If we increase the angle, then the hypotenuse side gets larger. That means “base/hypotenuse” gets smaller or decreases.
(iii) For acute angles, remember what tangent means: opposite over base. If we decrease the angle, then the opposite side gets smaller. That means “opposite /base” gets decreases.
Solution 10:

Solution 11:

Exercise 23(B)
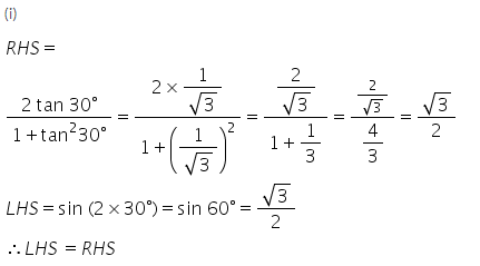
Solution 1:


Solution 2:



Solution 3:

Solution 4:




Exercise 23(C)
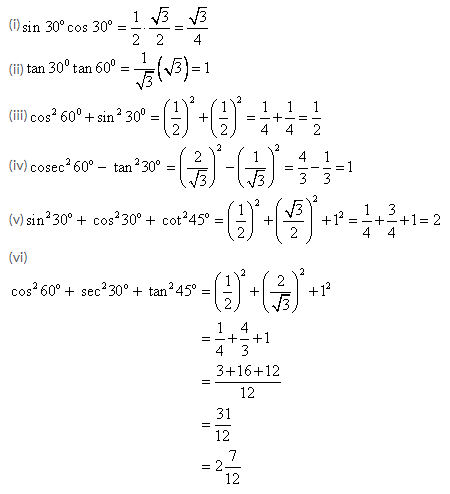
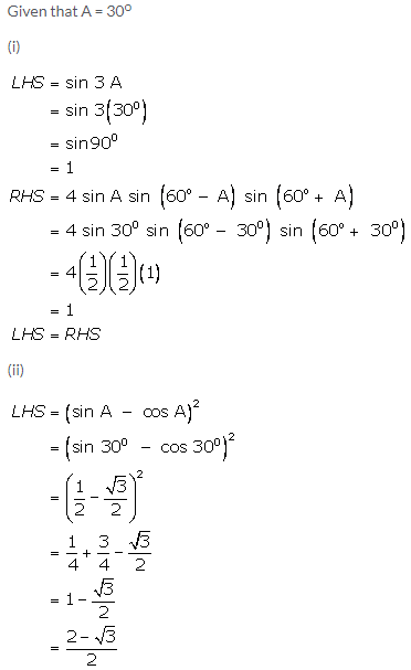
Solution 1:


Solution 2:


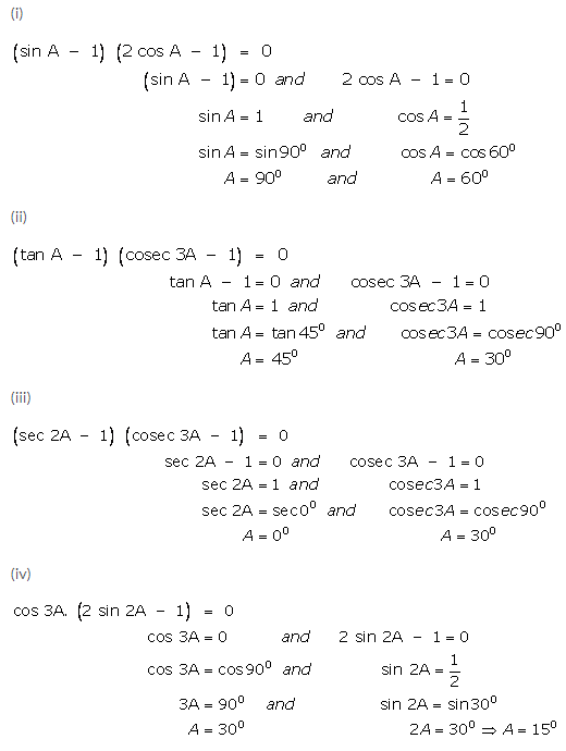
Solution 3:

Solution 4:

Solution 5:

Solution 6:

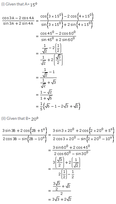
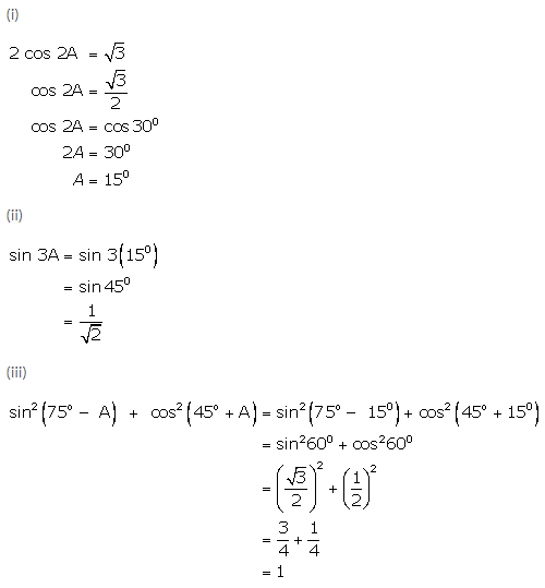
Solution 7:

Solution 8:

Solution 9:

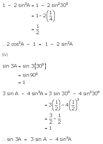
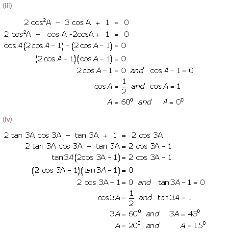
Solution 10:

Solution 11:


Solution 12:




Solution 13:

Solution 14:

Solution 15:

More Resources for Selina Concise Class 9 ICSE Solutions
- Selina Class 9 Maths Solutions
- Selina ICSE Concise Physics Class 9 Solutions
- Selina Concise Chemistry Class 9 ICSE Solutions
- Selina Concise Biology Class 9 ICSE Solutions