Selina Concise Mathematics Class 9 ICSE Solutions Solution of Right Triangles [Simple 2-D Problems Involving One Right-angled Triangle]
ICSE SolutionsSelina ICSE Solutions
APlusTopper.com provides step by step solutions for Selina Concise Mathematics Class 9 ICSE Solutions Chapter 24 Solution of Right Triangles [Simple 2-D Problems Involving One Right-angled Triangle]. You can download the Selina Concise Mathematics ICSE Solutions for Class 9 with Free PDF download option. Selina Publishers Concise Mathematics for Class 9 ICSE Solutions all questions are solved and explained by expert mathematic teachers as per ICSE board guidelines.
Download Formulae Handbook For ICSE Class 9 and 10
Selina ICSE Solutions for Class 9 Maths Chapter 24 Solution of Right Triangles [Simple 2-D Problems Involving One Right-angled Triangle]
Exercise 24
Solution 1:

Solution 2:

Solution 3:


Solution 4:

Solution 5:

Solution 6:


Solution 7:

Thus AB = AC + CD + BD = 54.64 cm.
Solution 8:
First draw two perpendiculars to AB from the point D and C respectively. Since AB|| CD therefore PMCD will be a rectangle.
Consider the figure,


Solution 9:

Solution 10:

Solution 11:

Solution 12:

Solution 13:

Solution 14:

Solution 15:
Given that the ladder makes an angle of 30o with the ground and reaches upto a height of 15 m of the tower which is shown in the figure below:

Solution 16:

Solution 17:




Solution 18:


Solution 19:

Solution 20:

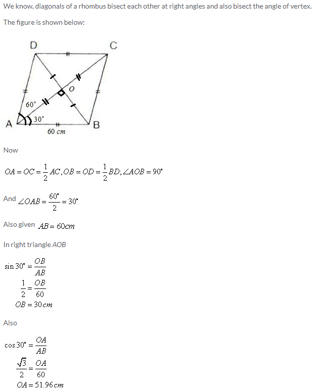
We also know that in rhombus diagonals bisect each other perpendicularly and diagonal bisect the angle at vertex.
Hence POR is a right angle triangle and

More Resources for Selina Concise Class 9 ICSE Solutions
- Selina Class 9 Maths Solutions
- Selina ICSE Concise Physics Class 9 Solutions
- Selina Concise Chemistry Class 9 ICSE Solutions
- Selina Concise Biology Class 9 ICSE Solutions