Selina Concise Mathematics Class 9 ICSE Solutions Simultaneous (Linear) Equations (Including Problems)
APlusTopper.com provides step by step solutions for Selina Concise Mathematics Class 9 ICSE Solutions Chapter 6 Simultaneous (Linear) Equations (Including Problems). You can download the Selina Concise Mathematics ICSE Solutions for Class 9 with Free PDF download option. Selina Publishers Concise Mathematics for Class 9 ICSE Solutions all questions are solved and explained by expert mathematic teachers as per ICSE board guidelines.
Download Formulae Handbook For ICSE Class 9 and 10
ICSE SolutionsSelina ICSE Solutions
Selina ICSE Solutions for Class 9 Maths Chapter 6 Simultaneous (Linear) Equations (Including Problems)
Exercise 6(A)
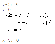
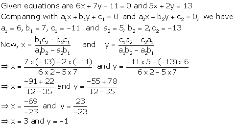
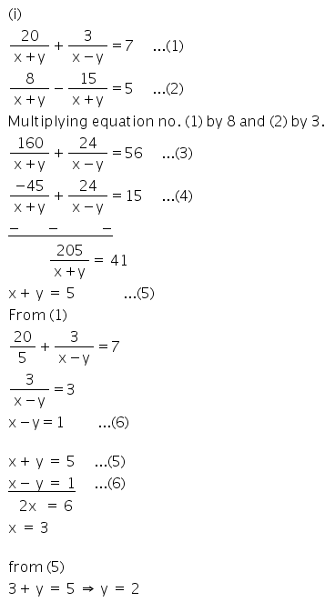
Solution 1:

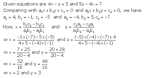
Solution 2:

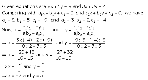
Solution 3:

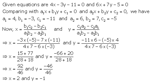
Solution 4:

Solution 5:

Solution 6:

Solution 7:

Solution 8:

Solution 9:

Solution 10:

Exercise 6(B)
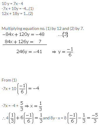
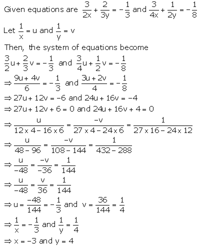
Solution 1:

Solution 2:

Solution 3:

Solution 4:

Solution 5:

Solution 6:

Solution 7:

Solution 8:

Solution 9:

Solution 10:

Solution 11:

Solution 12:

Solution 13:


Solution 14:

Solution 15:

Solution 16:

Solution 17:

Solution 18:

Solution 19:

Exercise 6(C)
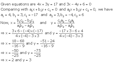
Solution 1:

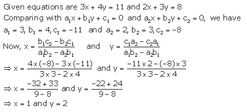
Solution 2:

Solution 3:

Solution 4:

Solution 5:

Solution 6:

Solution 7:

Solution 8:

Solution 9:

Solution 10:

Exercise 6(D)
Solution 1:

Solution 2:

Solution 3:

Solution 4:

Solution 5:

Solution 6:



Solution 7:

Solution 8:

Solution 9:

Solution 10:

Exercise 6(E)
Solution 1:

Solution 2:

Solution 3:

Solution 4:

Solution 5:

Solution 6:

Solution 7:

Solution 8:

Solution 9:

Solution 10:

Solution 11:

Solution 12:

Solution 13:

Solution 14:

Solution 15:

Exercise 6(F)
Solution 1:

Solution 2:

Solution 3:

Solution 4:

Solution 5:

Solution 6:

Solution 7:

Solution 8:

Solution 9:

Solution 10:

Exercise 6(G)
Solution 1:

Solution 2:

Solution 3:

Solution 4:

Solution 5:

Solution 6:

Solution 7:

Solution 8:

Solution 9:

Solution 10:

Solution 11:

Solution 12:

Solution 13:

More Resources for Selina Concise Class 9 ICSE Solutions
- Concise Mathematics Class 9 ICSE Solutions
- Concise Physics Class 9 ICSE Solutions
- Concise Chemistry Class 9 ICSE Solutions
- Concise Biology Class 9 ICSE Solutions