Selina Concise Mathematics Class 9 ICSE Solutions Rational and Irrational Numbers
APlusTopper.com provides step by step solutions for Selina Concise Mathematics Class 9 ICSE Solutions Chapter 1 Rational and Irrational Numbers. You can download the Selina Concise Mathematics ICSE Solutions for Class 9 with Free PDF download option. Selina Publishers Concise Mathematics for Class 9 ICSE Solutions all questions are solved and explained by expert mathematic teachers as per ICSE board guidelines.
Download Formulae Handbook For ICSE Class 9 and 10
ICSE SolutionsSelina ICSE Solutions
Selina ICSE Solutions for Class 10 Maths Chapter 1 Rational and Irrational Numbers
Exercise 1(A)
Solution 1:


Solution 2:

Solution 3:

Solution 4:

Solution 5:

Solution 6:

Solution 7:

Solution 8:

Solution 9:

Solution 10:

Exercise 1(B)
Solution 1:

Solution 2:

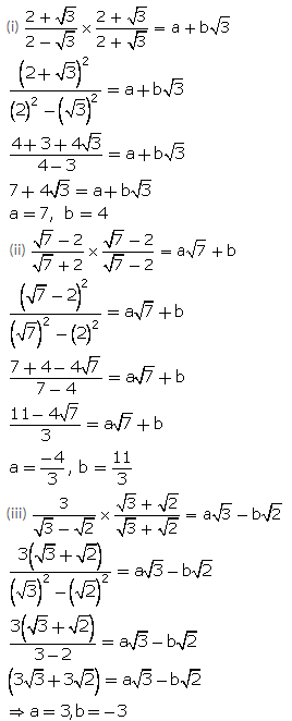
Solution 3(i):

Solution 3(ii):

Solution 3(iii):

Solution 3(iv):

Solution 3(v):

Solution 3(vi):

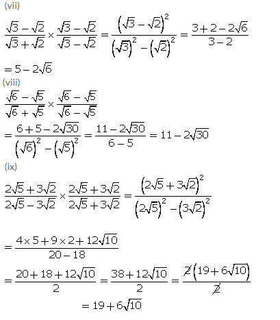
Solution 3(vii):

Solution 3(viii):

Solution 4:

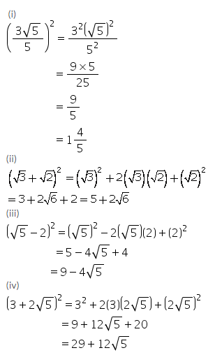
Solution 5(i):

Solution 5(ii):

Solution 5(iii):

Solution 5(iv):

Solution 5(v):

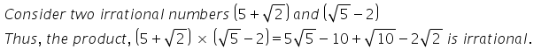
Solution 5(vi):

Solution 5(vii):

Solution 5(viii):

Exercise 1(C)
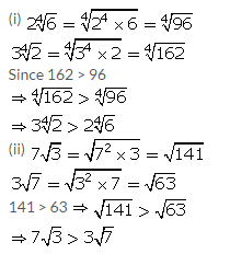
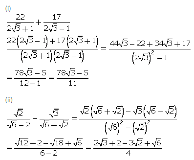
Solution 1:

Solution 2:

Solution 3:

Solution 4:


Solution 5:

Solution 6:

Solution 7:

Solution 8:

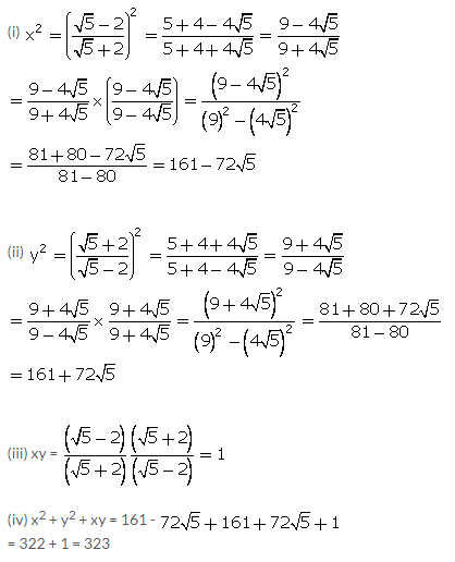
Solution 9:

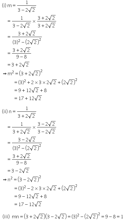
Solution 10:

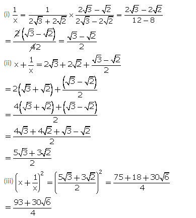
Solution 11:

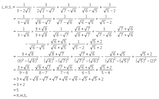
Solution 12:

Solution 13:

Solution 14:

Solution 15:

Solution 16:

Solution 17:

Solution 18:

Solution 19:

Exercise 1(D)
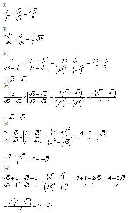
Solution 1:

Solution 2:


Solution 3:


Solution 4:


Solution 5:

Solution 6:

Solution 7:

Solution 8:

Solution 9:

Solution 10:


Solution 11:

Solution 12:

Solution 13(i):

Solution 13(ii):

More Resources for Selina Concise Class 9 ICSE Solutions
- Concise Mathematics Class 9 ICSE Solutions
- Concise Physics Class 9 ICSE Solutions
- Concise Chemistry Class 9 ICSE Solutions
- Concise Biology Class 9 ICSE Solutions