Selina Concise Mathematics Class 9 ICSE Solutions Pythagoras Theorem [Proof and Simple Applications with Converse]
ICSE SolutionsSelina ICSE Solutions
APlusTopper.com provides step by step solutions for Selina Concise Mathematics Class 9 ICSE Solutions Chapter 13 Pythagoras Theorem [Proof and Simple Applications with Converse]. You can download the Selina Concise Mathematics ICSE Solutions for Class 9 with Free PDF download option. Selina Publishers Concise Mathematics for Class 9 ICSE Solutions all questions are solved and explained by expert mathematic teachers as per ICSE board guidelines.
Download Formulae Handbook For ICSE Class 9 and 10
Selina ICSE Solutions for Class 9 Maths Chapter 13 Pythagoras Theorem [Proof and Simple Applications with Converse]
Exercise 13(A)
Solution 1:

Solution 2:

Solution 3:

Solution 4:

Solution 5:

Solution 6:

Solution 7:

Solution 8:

Solution 9:

Solution 10:
Take M be the point on CD such that AB = DM.
So DM = 7cm and MC = 10 cm
Join points B and M to form the line segment BM.
So BM || AD also BM = AD.

Solution 11:
Given that AX:XB = 1:2.
Let n be the common multiple for which this proportion gets satisfied.
So, AX = 1(n) and XB = 2(n)

AX = 1(n) = 4 and XB = 2(n) = 8

Solution 12:


Exercise 13(B)
Solution 1:

Solution 2:

Solution 3:

Solution 4:




Solution 5:

Solution 6:

Solution 7:

Solution 8:

Solution 9:


Solution 10:

Solution 11:

Solution 12:

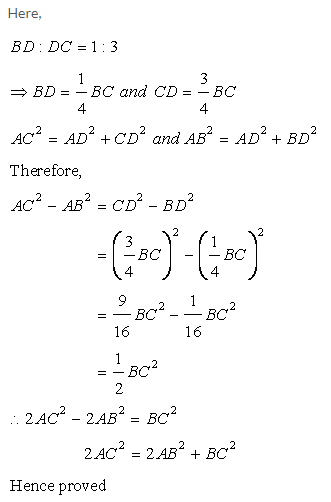
Solution 13:

Solution 14:

Solution 15:

More Resources for Selina Concise Class 9 ICSE Solutions
- ICSE Class 9 Maths Selina Solutions
- Concise Physics Class 9 ICSE Answers
- Concise Chemistry Class 9 ICSE Answers
- Concise Biology Class 9 ICSE Answers