Selina Concise Mathematics Class 9 ICSE Solutions Logarithms
APlusTopper.com provides step by step solutions for Selina Concise Mathematics Class 9 ICSE Solutions Chapter 8 Logarithms. You can download the Selina Concise Mathematics ICSE Solutions for Class 9 with Free PDF download option. Selina Publishers Concise Mathematics for Class 9 ICSE Solutions all questions are solved and explained by expert mathematic teachers as per ICSE board guidelines.
Download Formulae Handbook For ICSE Class 9 and 10
ICSE SolutionsSelina ICSE Solutions
Selina ICSE Solutions for Class 9 Maths Chapter 8 Logarithms
Exercise 8(A)
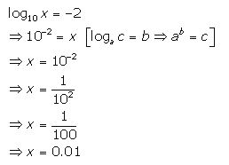
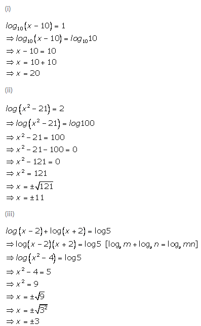
Solution 1:

Solution 2:

Solution 3:

Solution 4:



Solution 5:

Solution 6:


Solution 7:


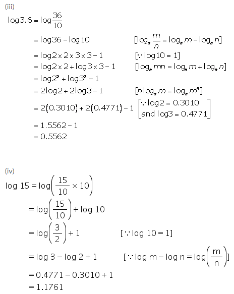
Solution 8:

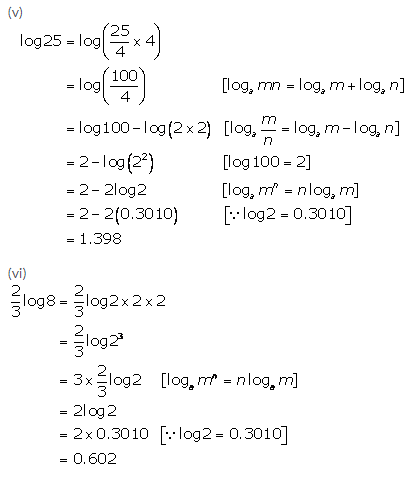
Solution 9:

Solution 10:

Solution 11:

Solution 12:

Exercise 8(B)
Solution 1:


Solution 2:

Solution 3:


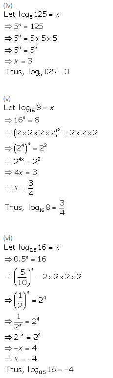
Solution 4:

Solution 5:

Solution 6:

Solution 7:


Solution 8:


Solution 9:

Solution 10:


Solution 11:


Solution 12:



Solution 13:

Solution 14:

Solution 15:

Solution 16:

Exercise 8(C)
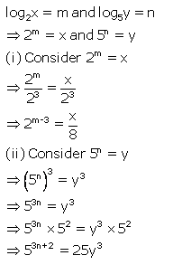
Solution 1:


Solution 2:

Solution 3:

Solution 4:

Solution 5:


Solution 6:

Solution 7:

Solution 8:

Solution 9:


Solution 10:

Solution 11:

Exercise 8(D)
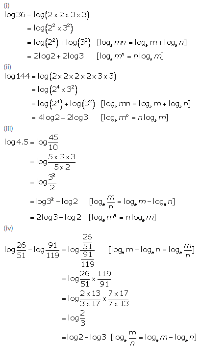
Solution 1:

Solution 2:

Solution 3:

Solution 4:

Solution 5:

Solution 6:

Solution 7:

Solution 8:
v

Solution 9:

Solution 10:

Solution 11:

Solution 12:

Solution 13:

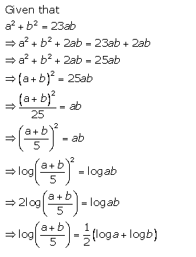
Solution 14:

Solution 15:

Solution 16:

Solution 17:

Solution 18:

Solution 19:

Solution 20:

More Resources for Selina Concise Class 9 ICSE Solutions
- ICSE Class 9 Maths Selina Solutions
- Concise Physics Class 9 ICSE Answers
- Concise Chemistry Class 9 ICSE Answers
- Concise Biology Class 9 ICSE Answers