Selina Concise Mathematics Class 9 ICSE Solutions Indices (Exponents)
APlusTopper.com provides step by step solutions for Selina Concise Mathematics Class 9 ICSE Solutions Chapter 7 Indices (Exponents). You can download the Selina Concise Mathematics ICSE Solutions for Class 9 with Free PDF download option. Selina Publishers Concise Mathematics for Class 9 ICSE Solutions all questions are solved and explained by expert mathematic teachers as per ICSE board guidelines.
Download Formulae Handbook For ICSE Class 9 and 10
ICSE SolutionsSelina ICSE Solutions
Selina ICSE Solutions for Class 9 Maths Chapter 7 Indices (Exponents)
Exercise 7(A)
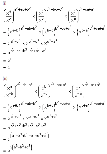
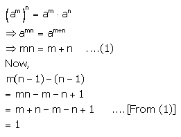
Solution 1:





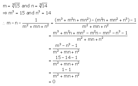
Solution 2:


Solution 3:


Solution 4:



Solution 5:

Solution 6:

Solution 7:


Solution 8:

Solution 9:

Solution 10:

Exercise 7(B)
Solution 1:


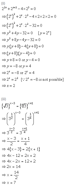
Solution 2:


Solution 3:

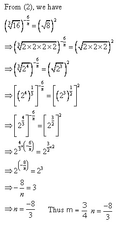
Solution 4:


Solution 5:


Solution 6:


Solution 7:

Solution 8:

Solution 9:

Solution 10:

Solution 11:

Solution 12:

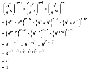
Solution 13:

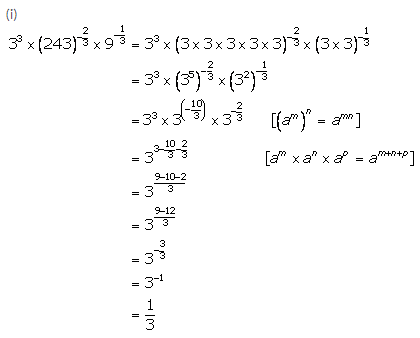
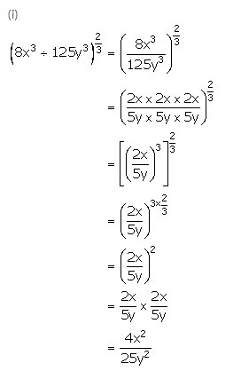
Solution 14(i):

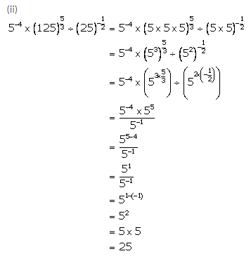
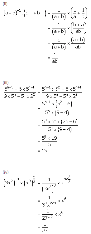
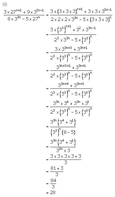
Solution 14(ii):

Solution 14(iii):

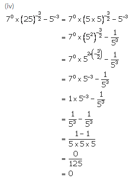
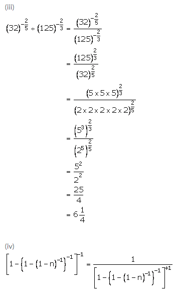
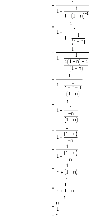
Solution 14(iv):

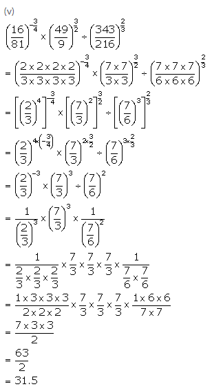
Solution 14(v):

Exercise 7(C)
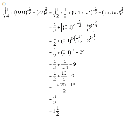
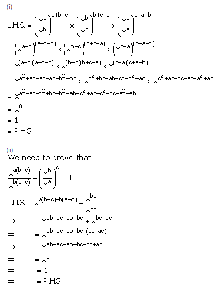
Solution 1:


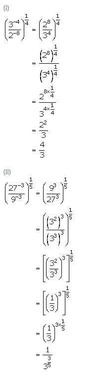
Solution 2:

Solution 3:

Solution 4:

Solution 5:

Solution 6:

Solution 7:

Solution 8:

Solution 9:

Solution 10:

Solution 11:

Solution 12:

More Resources for Selina Concise Class 9 ICSE Solutions
- Concise Mathematics Class 9 ICSE Solutions
- Concise Physics Class 9 ICSE Solutions
- Concise Chemistry Class 9 ICSE Solutions
- Concise Biology Class 9 ICSE Solutions