Selina Concise Mathematics Class 9 ICSE Solutions Expansions (Including Substitution)
APlusTopper.com provides step by step solutions for Selina Concise Mathematics Class 9 ICSE Solutions Chapter 4 Expansions (Including Substitution). You can download the Selina Concise Mathematics ICSE Solutions for Class 9 with Free PDF download option. Selina Publishers Concise Mathematics for Class 9 ICSE Solutions all questions are solved and explained by expert mathematic teachers as per ICSE board guidelines.
Download Formulae Handbook For ICSE Class 9 and 10
ICSE SolutionsSelina ICSE Solutions
Selina ICSE Solutions for Class 9 Maths – Chapter 4 – Expansions (Including Substitution)
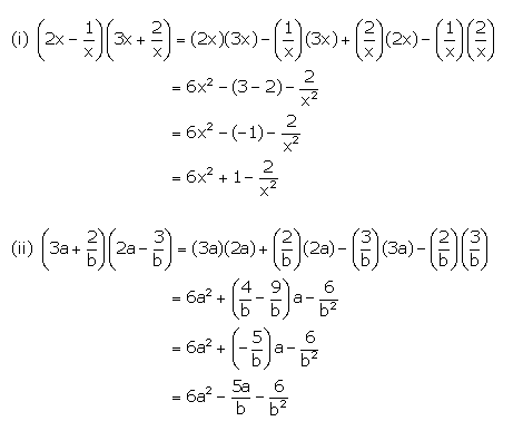
Exercise 4(A)
Solution 1:

Solution 2:


Solution 3:

Solution 4:


Solution 5:

Solution 6:

Solution 7:


Solution 8:

Solution 9:


Solution 10:


Solution 11:


Solution 12:


Solution 13:


Solution 14:

Solution 15:

Solution 16:

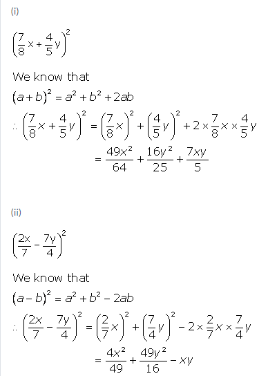
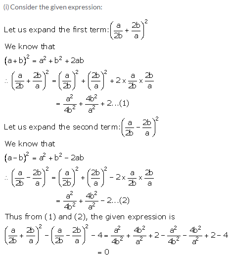
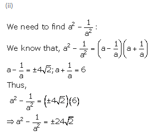
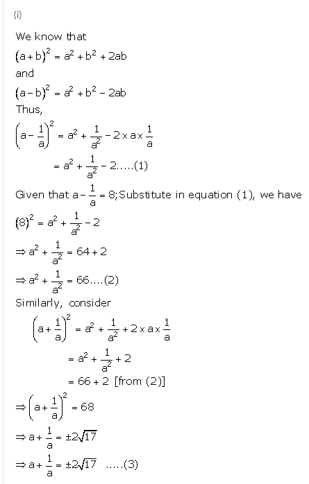
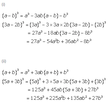
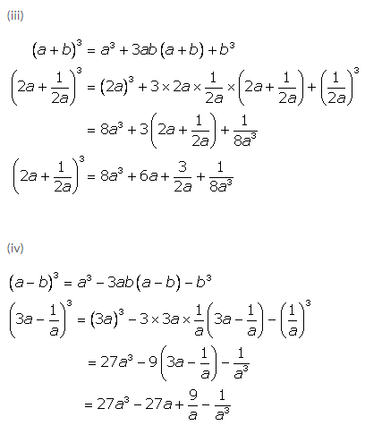
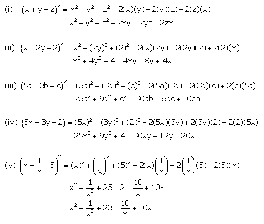
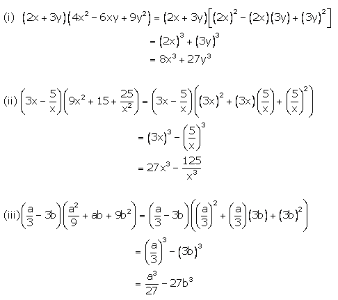
Exercise 4(B)
Solution 1:


Solution 2:


Solution 3:


Solution 4:

Solution 5:

Solution 6:

Solution 7:

Solution 8:

Solution 9:

Solution 10:

Solution 11:

Solution 12:

Solution 13:

Solution 14:

Solution 15:

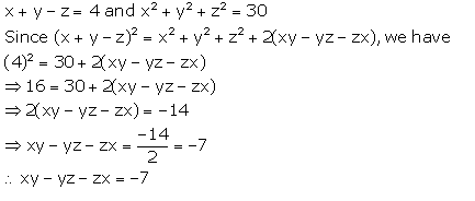
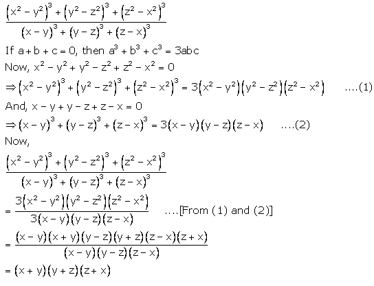
Exercise 4(C)
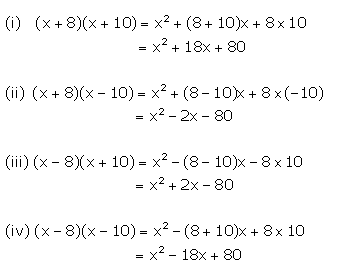
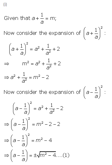
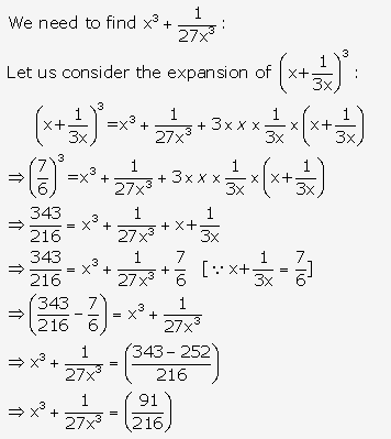
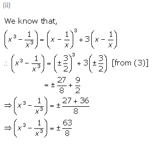
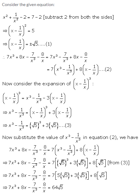
Solution 1:

Solution 2:

Solution 3:

Solution 4:

Solution 5:

Solution 6:

Solution 7:

Solution 8:

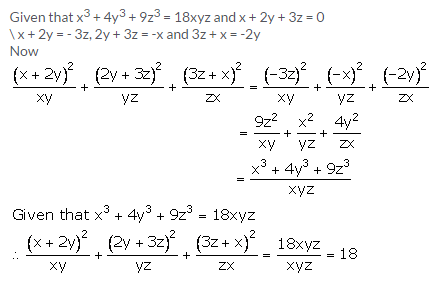
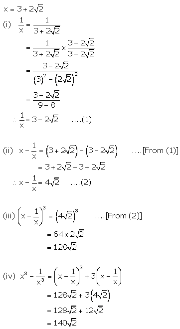
Exercise 4(D)
Solution 1:

Solution 2:


Solution 3:

Solution 4:


Solution 5:




Solution 6:

Solution 7:


Solution 8:


Solution 9:


Solution 10:

Solution 11:

Solution 12:

Solution 13:

Solution 14:

Solution 15:

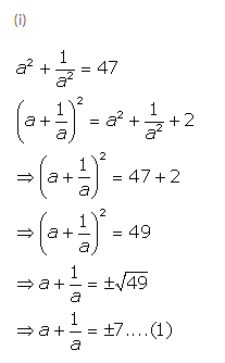
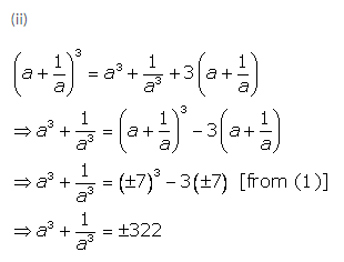
Exercise 4(E)
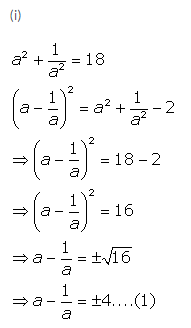
Solution 1:

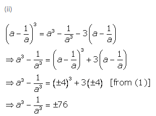
Solution 2:

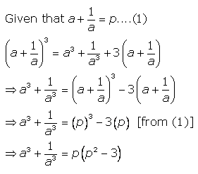
Solution 3:

Solution 4:

Solution 5:

Solution 6:

Solution 7:

Solution 8:

Solution 9:

More Resources for Selina Concise Class 9 ICSE Solutions
- Concise Mathematics Class 9 ICSE Solutions
- Concise Physics Class 9 ICSE Solutions
- Concise Chemistry Class 9 ICSE Solutions
- Concise Biology Class 9 ICSE Solutions