Selina Concise Mathematics Class 9 ICSE Solutions Complementary Angles
ICSE SolutionsSelina ICSE Solutions
APlusTopper.com provides step by step solutions for Selina Concise Mathematics Class 9 ICSE Solutions Chapter 25 Complementary Angles. You can download the Selina Concise Mathematics ICSE Solutions for Class 9 with Free PDF download option. Selina Publishers Concise Mathematics for Class 9 ICSE Solutions all questions are solved and explained by expert mathematic teachers as per ICSE board guidelines.
Download Formulae Handbook For ICSE Class 9 and 10
Selina ICSE Solutions for Class 9 Maths Chapter 25 Complementary Angles
Exercise 25(A)
Solution 1(i):
![]()
Solution 1(ii):
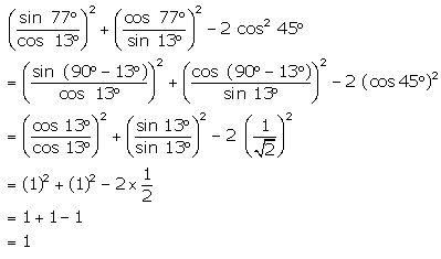
![]()
Solution 1(iii):

Solution 1(iv):

Solution 1(v):

Solution 1(vi):

Solution 1(vii):

Solution 1(viii):

Solution 2(i):

Solution 2(ii):

Solution 2(iii):

Solution 2(iv):

Solution 2(v):

Solution 2(vi):

Solution 3(i):

Solution 3(ii):

Solution 4:

Solution 5:

Solution 6:


Solution 7:

Solution 8(i):

Solution 8(ii):

More Resources for Selina Concise Class 9 ICSE Solutions
- Selina Maths Class 9 ICSE Solutions
- Selina ICSE Physics Class 9 Solutions
- Concise Chemistry Class 9 ICSE Guide Pdf
- Selina ICSE Class 9 Biology Solutions