Selina Concise Mathematics Class 10 ICSE Solutions Trigonometrical Identities (Including Trigonometrical Ratios of Complementary Angles and Use of Four Figure Trigonometrical Tables)
Selina Publishers Concise Mathematics Class 10 ICSE Solutions Chapter 21 Trigonometrical Identities (Including Trigonometrical Ratios of Complementary Angles and Use of Four Figure Trigonometrical Tables)
Trigonometrical Identities Exercise 21A – Selina Concise Mathematics Class 10 ICSE Solutions
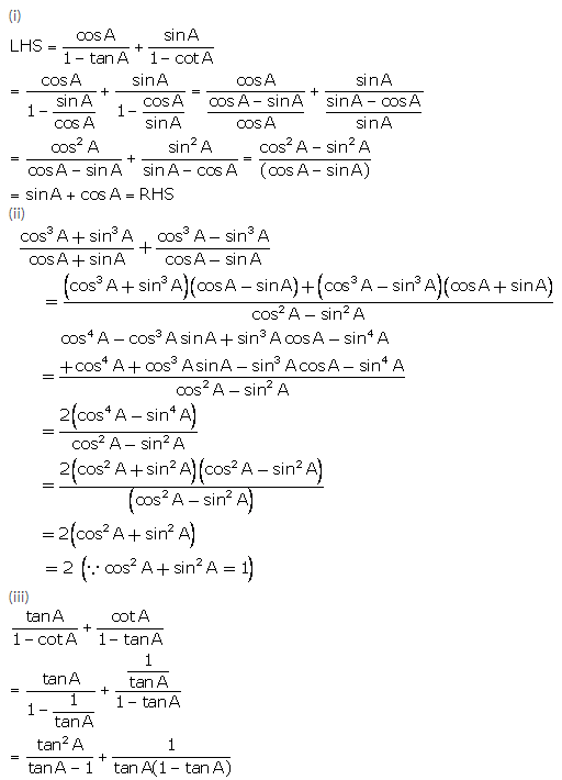
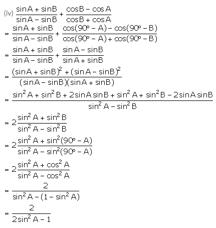
Question 1.

Solution:

Question 2.

Solution:

Question 3.

Solution:

Question 4.

Solution:

Question 5.
![]()
Solution:

Question 6.

Solution:

Question 7.

Solution:

Question 8.
![]()
Solution:

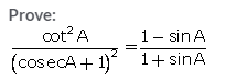
Question 9.
![]()
Solution:

Question 10.
![]()
Solution:

Question 11.

Solution:

Question 12.

Solution:

Question 13.
![]()
Solution:

Question 14.
![]()
Solution:

Question 15.
![]()
Solution:

Question 16.

Solution:

Question 17.
![]()
Solution:

Question 18.

Solution:

Question 19.

Solution:

Question 20.

Solution:

Question 21.
![]()
Solution:

Question 22.
![]()
Solution:

Question 23.

Solution:

Question 24.

Solution:

Question 25.

Solution:

Question 26.

Solution:

Question 27.

Solution:

Question 28.

Solution:

Question 29.

Solution:

Question 30.

Solution:

Question 31.

Solution:

Question 32.

Solution:

Question 33.

Solution:

Question 34.

Solution:

Question 35.

Solution:

Question 36.

Solution:

Question 37.

Solution:

Question 38.
![]()
Solution:

Question 39.

Solution:

Question 40.

Solution:

Question 41.

Solution:

Question 42.

Solution:

Question 43.

Solution:

Question 44.

Solution:

Question 45.

Solution:

Question 46.

Solution:

Question 47.

Solution:

Question 48.

Solution:

Trigonometrical Identities Exercise 21B – Selina Concise Mathematics Class 10 ICSE Solutions
Question 1.

Solution:




Question 2.
![]()
Solution:

Question 3.
![]()
Solution:

Question 4.
![]()
Solution:

Question 5.
![]()
Solution:

Question 6.
![]()
Solution:

Question 7.
![]()
Solution:

Trigonometrical Identities Exercise 21C – Selina Concise Mathematics Class 10 ICSE Solutions
Question 1.

Solution:

Question 2.

Solution:

Question 3.

Solution:

Question 4.

Solution:

Question 5.

Solution:


Question 6.
![]()
Solution:

Question 7.

Solution:


Question 8.

Solution:

Question 9.

Solution:

Question 10.

Solution:

Question 11.

Solution:

Question 12.
Without using trigonometrical tables, evaluate:
cosec2 57° – tan233° + cos 44° cosec46° – \(\sqrt{2}\)cos45° – tan260°
Solution:

Trigonometrical Identities Exercise 21D – Selina Concise Mathematics Class 10 ICSE Solutions
Question 1.

Solution:

Question 2.

Solution:

Question 3.

Solution:

Question 4.

Solution:

Question 5.

Solution:

Question 6.

Solution:

Trigonometrical Identities Exercise 21E – Selina Concise Mathematics Class 10 ICSE Solutions
Question 1.

Solution:








Question 2.

Solution:

Question 3.

Solution:

Question 4.

Solution:

Question 5.

Solution:

Question 6.

Solution:

Question 7.

Solution:


Question 8.

Solution:

Question 9.

Solution:




Question 10.
\(\frac{\cot A-1}{2-\sec ^{2} A}=\frac{\cot A}{1+\tan A}\)
Solution:
To prove that : \(\frac{\cot A-1}{2-\sec ^{2} A}=\frac{\cot A}{1+\tan A}\)

Hence proved.
Question 11.

Solution:




Question 12.

Solution:

Question 13.

Solution:


Question 14.

Solution:


Question 15.

Solution:

Question 16.
![]()
Solution:

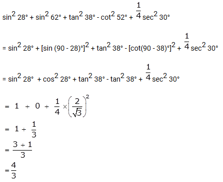
Question 17.
Evaluate without using trigonometric tables,
sin2 28° + sin2 62° + tan2 38° – cot2 52° + \(\frac{1}{4}\)sec2 30°
Solution:

More Resources for Selina Concise Class 10 ICSE Solutions
- Selina Class 10 ICSE Maths Solutions
- Selina ICSE Concise Physics Class 10 Solutions
- Selina Concise Chemistry Class 10 ICSE Solutions
- Selina Concise Biology Class 10 ICSE Solutions
ICSE Solutions Selina ICSE Solutions