Selina Concise Mathematics Class 10 ICSE Solutions Similarity (With Applications to Maps and Models)
Selina Publishers Concise Mathematics Class 10 ICSE Solutions Chapter 15 Similarity (With Applications to Maps and Models)
Similarity Exercise 15A – Selina Concise Mathematics Class 10 ICSE Solutions
Question 1.
In the figure, given below, straight lines AB and CD intersect at P; and AC // BD. Prove that:
(i) ∆APC and ∆BPD are similar.
(ii) If BD = 2.4 cm AC = 3.6 cm, PD = 4.0 cm and PB = 3.2 cm; find the lengths of PA and PC.

Solution:
(i)

(ii)

Question 2.
In a trapezium ABCD, side AB is parallel to side DC; and the diagonals AC and BD intersect each other at point P. Prove that:
(i) ∆APB is similar to ∆CPD
(ii) PA × PD = PB × PC
Solution:
(i)

(ii)

Question 3.
P is a point on side BC of a parallelogram ABCD. IfDPproduced meets AB produced at point L, prove that:
(i) DP: PL = DC: BL.
(ii) DL: DP=AL: DC.
Solution:
(i)

(ii)

Question 4.
In quadrilateral ABCD, the diagonals AC and BD intersect each other at point O. If AO = 2CO and BO=2DO; show that:
(i) ∆AOB is similar to ∆COD.
(ii) OA × OD – OB × OC.
Solution:
(i)

(ii)

Question 5.
In ∆ABC, angle ABC is equal to twice the angle ACB, and bisector of angle ABC meets the opposite side at point P. Show that:
(i) CB: BA=CP: PA
(ii) AB × BC = BP × CA
Solution:
(i)

(ii)

Question 6.
In ∆ABC; BM ⊥ AC and CN ⊥ AB; show that:
\(\frac{\mathbf{A B}}{A C}=\frac{B M}{C N}=\frac{A M}{A N}\)
Solution:

Question 7.
In the given figure, DE//BC, AE = 15 cm, EC = 9 cm, NC = 6 cm and BN = 24 cm.
(i) Write all possible pairs of similar triangles.
(ii) Find lengths of ME and DM.

Solution:
(i)

(ii)

Question 8.
In the given figure, AD =AE and AD2 = BD × EC
Prove that: triangles ABD and CAE are similar.

Solution:

Question 9.
In the given figure, AB // DC, BO = 6 cm and DQ = 8 cm; find: BP × DO.

Solution:

Question 10.
Angle BAC of triangle ABC is obtuse and AB =AC. P is a point in BC such that PC = 12 cm. PQ and PR are perpendiculars to sides AB and AC respectively. If PQ = 15 cm and PR=9 cm; find the length of PB
Solution:

Question 11.
State, true or false:
(i) Two similar polygons are necessarily congruent.
(ii) Two congruent polygons are necessarily similar.
(iii) All equiangular triangles are similar.
(iv) All isosceles triangles are similar.
(v) Two isosceles-right triangles are similar.
(vi) Two isosceles triangles are similar, if an angle of one is congruent to the corresponding angle of the other.
(vii) The diagonals of a trapezium, divide each other into proportional segments.
Solution:
(i) False
(ii) True
(iii) True
(iv) False
(v) True
(vi) True
(vii) True
Question 12.
Given = ∠GHE = ∠ DFE = 90°, DH = 8, DF = 12, DG = 3x + 1 and DE = 4x + 2.

Find; the lengths of segments DG and DE.
Solution:

Question 13.
D is a point on the side BC of triangle ABC such that angle ADC is equal to angle BAC. Prove that CA2 = CB × CD.
Solution:

Question 14.
In the given figure, ∆ABC and ∆AMP are right angled at B and M respectively. Given AC = 10 cm, AP = 15 cm and PM = 12 cm.
(i) Proe that ∆ABC ~ ∆AMP
(ii) Find AB and BC.
Solution:

Question 15.
Given : RS and PT are altitudes of A PQR prove that:
(i)∆PQT ~ ∆QRS,
(ii) PQ × QS = RQ × QT.
Solution:

Question 16.
Given : ABCD is a rhombus, DPR and CBR are straight lines

Prove that: DP × CR = DC × PR.
Solution:

Question 17.
Given: FB = FD, AE ⊥ FD and FC ⊥ AD. Prove : \(\frac{\mathbf{F B}}{\mathbf{A D}}=\frac{\mathbf{B C}}{\mathbf{E} \mathbf{D}}\)
Solution:

Question 18.
In ∆ PQR, ∠ Q = 90° and QM is perpendicu¬lar to PR, Prove that:
(i) PQ2 = PM × PR
(ii) QR2 = PR × MR
(iff) PQ2 + QR2 = PR2
Solution:

Question 19.
In ∆ ABC, ∠ B = 90° and BD × AC.
(i) If CD = 10 cm and BD = 8 cm; find AD.
(ii) If AC = 18 cm and AD = 6 cm; find BD.
(iii) If AC = 9 cm, AB = 7 cm; find AD.
Solution:


Question 20.
In the figure, PQRS is a parallelogram with PQ = 16 cm and QR = 10 cm. L is a point on PR such that RL : LP = 2 : 3. QL produced meets RS at M and PS produced at N.

Find the lengths of PN and RM.
Solution:

Question 21.
In quadrilateral ABCD, diagonals AC and BD intersect at point E. Such that
AE : EC = BE :’ED.
Show that ABCD is a parallelogram
Solution:

Question 22.
In ∆ ABC, AD is perpendicular to side BC and AD2 = BD × DC.
Show that angle BAC = 90°

Solution:

Question 23.
In the given figure AB // EF // DC; AB ~ 67.5 cm. DC = 40.5 cm and AE = 52.5 cm.

(i) Name the three pairs of similar triangles.
(ii) Find the lengths of EC and EF.
Solution:

Question 24.
In the given figure, QR is parallel to AB and DR is parallel to QB.

Prove that— PQ2 = PD × PA.
Solution:

Question 25.
Through the mid-point M of the side CD o£. a parallelogram ABCD, the line BM is drawn ‘ intersecting diagonal AC in L and AD produced in E.
Prove that : EL = 2 BL.
Solution:

Question 26.
In the figure given below P is a point on AB such that AP : PB = 4 : 3. PQ is parallel to AC.

(i) Calculate the ratio PQ : AC, giving reason for your answer.
(ii) In triangle ARC, ∠ ARC = 90° and in triangle PQS, ∠ PSQ = 90°. Given QS = 6 cm, calculate the length of AR. [1999]
Solution:

Question 27.
In the right angled triangle QPR, PM is an altitude.

Given that QR = 8 cm and MQ = 3.5 cm. Calculate, the value of PR., [2000]
Given— In right angled ∆ QPR, ∠ P = 90° PM ⊥ QR, QR = 8 cm, MQ = 3.5 cm
Calculate— PR
Solution:

Question 28.
In the figure given below, the medians BD and CE of a triangle ABC meet at G.
Prove that—
(i) ∆ EGD ~ ∆ CGB
(ii) BG = 2 GD from (i) above.
Solution:

Similarity Exercise 15B – Selina Concise Mathematics Class 10 ICSE Solutions
Question 1.
In the following figure, point D divides AB in the ratio 3:5. Find:

Also, if:
(iv) DE = 2.4 cm, find the length of BC.
(v) BC = 4.8 cm, find the length of DE.

Solution:
(i).

(ii)

(iii)

(iv)

(v)

Question 2.
In the given figure, PQ//AB;
CQ = 4.8 cm QB = 3.6 cm and AB = 6.3 cm. Find:
(i) \(\frac{\mathbf{C P}}{\mathbf{P A}}\)
(ii) PQ
(iii) If AP=x, then the value of AC in terms of x.

Solution:
(i)

(ii)

(iii)

Question 3.
A line PQ is drawn parallel tp the side BC of AABC which cuts side AB at P and side AC at Q. If AB = 9.0 cm, CA=6.0 cm and AQ = 4.2 cm, find the length of AP.
Solution:

Question 4.
In ∆ABC, D and E are the points on sides AB and AC respectively.
Find whether DE // BC, if:
(i) AB=9 cm, AD=4 cm, AE=6 cm and EC = 7.5 cm.
(ii) AB=63 cm, EC=11.0 cm, AD=0.8 cm and AE = 1.6 cm.
Solution
(i).

(ii).

Question 5.
In the given figure, ∆ABC ~ ∆ADE. If AE: EC = 4 :7 and DE = 6.6 cm, find BC. If ‘x’ be the length of the perpendicular fromA to DE, find the length of perpendicular from

A to DE find the length of perpendicular from A to BC in terms of ‘x’.
Solution:

Question 6.
A line segment DE is drawn parallel to base BC of AABC which cuts AB at point D and AC at point E. If AB = 5 BD and EC=3.2 cm, find the length of AE.
Solution:

Question 7.
In the figure, given below, AB, Cd and EFare parallel lines. Given AB = 7.5 cm, DC =y cm, EF=4.5 cm, BC=x cm and CE=3 cm, calculate the values of x and y.

Solution:

Question 8.
In the figure, given below, PQR is a right- angle triangle right angled at Q. XY is parallel to QR, PQ = 6 cm, P Y=4 cm and PX : XQ = 1:2. Calculate the lengths of PR and QR.

Solution:

Question 9.
In the following figure, M is mid-point of BC of a parallelogram ABCD. DM intersects the diagonal AC at P and AB produced at E. Prove that PE = 2PD.

Solution:

Question 10.
The given figure shows a parallelogram ABCD. E is a point in AD and CE produced meets BA produced at point F. IfAE=4 cm, AF = 8 cm and AB = 12 cm, find the perimeter of the parallelogram ABCD.

Solution:

Similarity Exercise 15C – Selina Concise Mathematics Class 10 ICSE Solutions
Question 1.
(i) The ratio between the corresponding sides of two similar triangles is 2 is to 5. Find the ratio between the areas of these triangles.
(ii) Areas of two similar triangles are 98 sq. cm and 128 sq. cm. Find the ratio between the lengths of their corresponding sides.
Solution:

Question 2.
A line PQ is drawn parallel to the base BC, of ∆ ABC which meets sides AB and AC at points P and Q respectively. If AP = \(\frac{1}{3}\) PB; find the value of:

Solution:

Question 3.
The perimeters of two similar triangles are 30 cm and 24cm. If one side of first triangle is 12cm, determine the corresponding side of the second triangle.
Solution:

Question 4.
In the given figure AX : XB = 3 : 5

Find :
(i) the length of BC, if length of XY is 18 cm.
(ii) ratio between the areas of trapezium XBCY and triangle ABC.
Solution:

Question 5.
ABC is a triangle. PQ is a line segment intersecting AB in P and AC in Q such that PQ || BC and divides triangle ABC into two parts equal in area. Find the value of ratio BP : AB.
Given— In ∆ ABC, PQ || BC in such away that area APQ = area PQCB
To Find— The ratio ol’ BP : AB

Solution:

Question 6.
In the given triangle PQR, LM is parallel to QR and PM : MR = 3 : 4

Solution:


Question 7.
The given diagram shows two isosceles triangles which are similar also. In (he given dia¬gram, PQ and BC are not parallel:
PC = 4, AQ = 3, QB = 12, BC = 15 and AP = PQ.

Calculate—
(i) the length of AP
(ii) the ratio of the areas of triangle APQ and triangle ABC.
Solution:

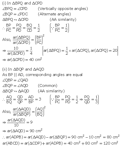
Question 8.
In the figure, given below, ABCD is a parallelogram. P is a point on BC such that BP : PC =1:2. DP produced meets AB produced at Q. Given the area of triangle CPQ = 20 cm2.
Calculate—
(i) area of triangle CDP
(ii) area of parallelogram ABCD [1996]

Solution:

Question 9.
In the given figure. BC is parallel to DE. Area of triangle ABC = 25 cm2.
Area of trapezium BCED = 24 cm2 and DE = 14 cm. Calculate the length of BC.
Also. Find the area of triangle BCD.

Solution:

Question 10.
The given figure shows a trapezium in which AB is parallel to DC and diagonals AC and BD intersect at point P. If AP : CP = 3 : 5.

Find:
(i) ∆ APB : ∆ CPB
(ii) ∆ DPC : ∆ APB
(iii) ∆ ADP : ∆ APB
(iv) ∆ APB : ∆ ADB
Solution:

Question 11.
In the given figure, ARC is a triangle. DE is parallel to BC and \(\frac{A D}{D B}=\frac{3}{2}\).
(i) Determine the ratios \(\frac{A D}{A B}, \frac{D E}{B C}\).
(ii) Prove that ∆DEF is similar to ∆CBF. Hence, find \(\frac{E F}{F B}\).
(iii) What is the ratio of the areas of ∆DEF and ∆BFC?

Solution:

Question 12.
In the given figure, ∠B = ∠E, ∠ACD = ∠BCE, AB=10.4 cm and DE=7.8 cm. Find the ratio between areas of the ∆ABC and ∆DEC.

Solution:

Question 13.
Triangle ABC is an isosceles triangle in which AB = AC = 13 cm and BC = 10 cm. AD is perpendicular to BC. If CE = 8 cm and EF ⊥ AB, find:

Solution:

Similarity Exercise 15D – Selina Concise Mathematics Class 10 ICSE Solutions
Question 1.
A triangle ABC has been enlarged by scale factor m = 2.5 to the triangle A’ B’ C’. Calculate:
(i) the length of AB, if A’ B’ = 6 cm.
(ii) the length of C’ A’ if CA = 4 cm.
Solution:
(i)

(ii)

Question 2.
A triangle LMN has been reduced by scale factor 0.8 to the triangle L’ M’ N’. Calculate:
(i) the length of M’ N’, if MN = 8 cm.
(ii) the length of LM, if L’ M’ = 5.4 cm.
Solution:
(i)

(ii)

Question 3.
A triangle ABC is enlarged, about the point O as centre of enlargement, and the scale factor is 3. Find:
(i) A’ B’, if AB = 4 cm.
(ii) BC, if B’ C’ = 15 cm.
(iii) OA, if OA’= 6 cm.
(iv) OC’, if OC = 21 cm.
Also, state the value of:

Solution:
(i)

(ii)

(iii)

(iv)

Question 4.
A model of an aeroplane is made to a scale of 1:400. Calculate:
(i) the length, in cm, of the model; if the length of the aeroplane is 40 m.
(ii) the length, in m, of the aeroplane, if length of its model is 16 cm.
Solution:

(ii)

Question 5.
The dimensions of the model of a multistorey building are 1.2 m × 75 cm × 2 m. If the scale factor is 1:30; find the actual dimensions of the building.
Solution:

Question 6.
On a map drawn to a scale of 1: 2,50,000; a triangular plot of land has the following measurements : AB = 3 cm, BC = 4 cm and angle ABC = 90°.
Calculate:
(i) the actual lengths of AB and BC in km.
(ii) the area of the plot in sq. km.
Solution:

(ii)

Question 7.
A model of a ship of made to a scale 1 : 300
(i) The length of the model of ship is 2 m. Calculate the lengths of the ship.
(ii) The area of the deck ship is 180,000 m2. Calculate the area of the deck of the model.
(iii) The volume of the model in 6.5 m3. Calculate the volume of the ship. (2016)
Solution:

Question 7(old).

Solution:

Question 8.
An aeroplane is 30 in long and its model is 15 cm long. If the total outer surface area of the model is 150 cm2, find the cost of painting the outer surface of the aeroplane at the rate of ₹ 120 per sq. m. Given that 50 sq. m of the surface of the aeroplane is left for windows.
Solution:

Similarity Exercise 15E – Selina Concise Mathematics Class 10 ICSE Solutions
Question 1.
In the following figure, XY is parallel to BC, AX = 9 cm, XB = 4.5cm and BC = 18 cm.

Find:
![]()
Solution:
(i)

(ii)

Question 2.
In the following figure, ABCD to a trapezium with AB//DC. If AB = 9 cm, DC = 18 cm, CF= 13.5 cm, AP=6 cm and BE = 15 cm.
Calculate:
(i) EC
(ii) AF
(iii) PE

Solution:
(i)

(ii)

(iii)

Question 3.
In the following figure, AB, CD and EF are perpendicular to the straight line BDF.

If AB = x and CD = z unit and EF = y unit, prove that : \(\frac{1}{x}+\frac{1}{y}=\frac{1}{z}\).
Solution:


Question 4.
Triangle ABC is similar to triangle PQR. If AD and PM are corresponding medians of the two triangles, prove that:
\(\frac{A B}{P Q}=\frac{A D}{P M}\).
Solution:

Question 5.
Triangle ABC is similar to triangle PQR. If AD and PM are altitudes of the two triangles,
prove that: \(\frac{\mathrm{AB}}{\mathrm{PQ}}=\frac{\mathrm{AD}}{\mathrm{PM}}\)
Solution:

Question 6.
Triangle ABC is similar to triangle PQR. If bisector of angle BAC meets BC at point D and bisector of angle QPR meets QR at point M, prove that: \(\frac{A B}{P Q}=\frac{A D}{P M}\).
Solution:

Question 7.
In the following figure, ∠AXY = ∠AYX. If \(\frac{\mathbf{B X}}{\mathbf{A X}}=\frac{\mathbf{C} \mathbf{Y}}{\mathbf{A} \mathbf{Y}}\), show that triangle ABC is isosceles.

Solution:



Question 8.
In the following diagram, lines l, m and n are parallel to each other. Two transversals p and q intersect the parallel lines at points A, B, C and P, Q, R as shown.

Prove that: \(\frac{A B}{B C}=\frac{P Q}{Q R}\)
Solution:

Question 9.
In the following figure, DE //AC and DC //AP. Prove that: \(\frac{B E}{E C}=\frac{B C}{C P}\)

Solution:

Question 10.
In the figure given below, AB//EF// CD. If AB = 22.5 cm, EP = 7.5 cm, PC = 15 cm and DC = 27 cm.
Calculate:
(i) EF
(ii) AC

Solution:
(i)

(ii)

Question 11.
In ∆ABC, ∠ABC = ∠DAC. AB = 8 cm, AC = 4 cm, AD = 5 cm.
(i) Prove that ∆ACD is similar to ∆BCA.
(ii) Find BC and CD.
(iii) Find area of ∆ACD: area of ∆ABC. (2014)
Solution:
(i)

(ii)

(iii)

Question 12.
In the given triangle P, Q and R are the midpoints of sides AB, BC and AC respectively. Prove that triangle PQR is similar to triangle ABC.

Solution:

Question 13.
In the following figure, AD and CE are medians of ∆ ABC. DF is drawn parallel to CE. Prove that:
(i) EF = FB;
(ii) AG : GD = 2 : 1

Solution:

Question 14.
The two similar triangles are equal in area. Prove that the triangles are congruent.
Solution:

Question 15.
The ratio between the altitudes of two similar triangles is 3 : 5; write the ratio between their:
(i) medians
(ii) perimeters
(iii) areas
Solution:

Question 16.
The ratio between the areas of two similar triangles is 16 : 25. Find the ratio between their:
(i) perimeters
(ii) altitudes
(iii) medians.
Solution:

Question 17.
The following figure shows a triangle PQR in which XY is parallel to QR. If PX: XQ = 1:3 and QR = 9 cm, find the length of XY.
Further, if the area of ∆ PXY = x cm2; find in terms of x, the area of :
(i) triangle PQR.
(ii) trapezium XQRY.

Solution:

Question 18.
On a map, drawn to a scale of 1 : 20000, a rectangular plot of land ABCD has AB = 24 cm, and BC = 32 cm. Calculate :
(i) The diagonal distance of the plot in kilometre
(ii) The area of the plot in sq. km.
Solution:

Question 19.
The dimensions of the model of a multistoreyed building are lm by 60 cm by 1.20 m. If the scale factor is 1 : 50,. find the actual
dimensions of the building. Also, find :
(i) the floor area of a room of the building, if the floor area of the corresponding room in the model is 50 sq cm.
(ii) the space (volume) inside a room of the model, if the space inside the corresponding room of the building is 90m3.
Solution:

Question 20.
In ∆ABC, ∠ACB = 90° and CD ⊥ AB. Prove that : \(\frac{\mathrm{BC}^{2}}{\mathrm{AC}^{2}}=\frac{\mathrm{BD}}{\mathrm{AD}}\).
Solution:

Question 21.
A triangle ABC with AB = 3 cm, BC = 6 cm and AC = 4 cm is enlarged to ∆DEF such that the longest side of ∆DEF = 9 cm. Find the scale factor and hence, the lengths of the other sides of ∆DEF.
Solution:

Question 22.
Two isosceles triangles have equal vertical angles. Show that the triangles are similar.
If the ratio between the areas of these two triangles is 16 : 25, find the ratio between their corresponding altitudes.
Solution:

Question 23.
In ∆ABC, AP: PB = 2 :3. PO is parallel to BC and is extended to Q so that CQ is parallel to BA.

Find:
(i) area ∆APO: area ∆ABC.
(ii) area ∆APO: area ∆CQO.
Solution:

Question 24.
The following figure shows a triangle ABC in which AD and BE are perpendiculars to BC and AC respectively.

Show that:
(i) ∆ADC – ∆BEC
(ii) CA × CE = CB × CD
(iii) ∆ ABC – ∆DEC
(iv) CD × AB = CA × DE
Solution:

Question 25.
In the given figure, ABC is a triangle-with ∠EDB = ∠ACB.
Prove that ∆ABC ~ ∆EBD.
If BE=6 cm, EC = 4 cm,
BD = 5 cm and area of
∆BED = 9 cm2. Calculate the
(i) length of AB
(ii) area of ∆ABC

Solution:

Question 26.
In the given figure, ABC is a right-angled triangle with ZBAC = 90°.
(i) Prove ∆ADB ~ ∆CDA.
(ii) If BD = 18 cm, CD = 8 cm, find AD.
(iii) Find the ratio of the area of ∆ADB is to area of ∆CDA.

Solution:

Question 27.
In the given figure, AB and DE are perpendicular to BC.
(i) Prove that ∆ABC ~ ∆DEC
(ii) If AB = 6 cm: DE = 4 cm and AC = 15 cm. Calculate CD.
(iii) Find the ratio of the area of ∆ABC : area of ∆DEC.

Solution:
(i)

(ii)

(iii)

Question 28.
ABC is a right angled triangle with ∠ABC = 90°. D is any point on AB and DE is perpendicular to AC. Prove that:

(i) ∆ADE ~ ∆ACB.
(ii) If AC = 13 cm, BC = 5 cm and AE=4 cm. Find DEandAD.
(iii) Find, area of ∆ADE : area of quadrilateral BCED. (2015)
Solution:
(i)

(ii)

(iii)

Question 29.
Given: AB // DE and BC // EF. Prove that:
(i) \(\frac{\mathrm{AD}}{\mathrm{DG}}=\frac{\mathrm{CF}}{\mathrm{FG}}\)
(ii) ∆DFG ~ ∆ACG.

Solution:

Question 30.

More Resources for Selina Concise Class 10 ICSE Solutions
- Selina Concise Mathematics Class 10 ICSE Solutions
- Selina Class 10 ICSE Physics Solutions
- Selina ICSE Class 10 Chemistry Solutions
- Selina Concise Biology Class 10 Solutions
ICSE Solutions Selina ICSE Solutions