ICSE Solutions for Class 10 Mathematics – Reflection
ICSE SolutionsSelina ICSE Solutions
Get ICSE Solutions for Class 10 Mathematics Chapter 7 Reflection for ICSE Board Examinations on APlusTopper.com. We provide step by step Solutions for ICSE Mathematics Class 10 Solutions Pdf. You can download the Class 10 Maths ICSE Textbook Solutions with Free PDF download option.
Download Formulae Handbook For ICSE Class 9 and 10
Formulae
- Rule to find the reflection of a point in the x-axis:
(i) Retain the abscissa i.e. x-coordinate.
(ii) Change the sign of ordinate i.e. y-coordinate. - Rule to find the reflection of a point in the y-axis:
(i) Change the sign of abscissa i.e., x-coordinate.
(ii) Retain the ordinate i.e., y-coordinate. - Reflection of a point in a line parallel to x-axis. The reflection of the point P(x, y) in the line y = a is the point P(x, -y+2a).
- Reflection of a point in a line parallel to y-axis. The reflection of the point P(x, y) in the line x = a is the point P’ (-x+2a, y).
- Reflection of a point in the origin:
(i) Change the sign of abscissa i.e., x-coordinate.
(ii) Change the sign of ordinate i.e., y-coordinate. - A point is called an Invariant point with respect to a given line if and only if lies on the line.
Determine the Following
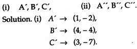
Question 1. The triangle A(1, 2), B(4, 4) and C(3, 7) is first reflected in the line y = 0 onto triangle A’B’C’ and then triangle A’B’C’ is reflected in the origin onto triangle A”B”C”. Write down the co-ordinates of:


Question 2. The point P (a, b) is first reflected in the origin and then reflected on the Y-axis to p’. If P’ has co-ordinates (3, – 4), evaluate a, b.

Figure Based Questions
Question 1. Name the figure formed by a triangle and its reflection, when:
(i) An isosceles right-angled triangle is reflected in its hypotenuse.
(ii) A right-angled triangle is reflected in its hypotenuse.
(iii) An isosceles triangle is reflected in its unequal side.
(iv) A scalene triangle is reflected in its greatest side.
Solution:

Graphical Depiction
Question 1. Find the co-ordinates of the images of the following under reflection in the origin:



Question 2. The image of a point P under reflection on the X-axis is (5, – 2). Write down the co-ordinates of P.

Question 3. Write down the co-ordinates of the image of (5, – 4).
(i) Reflection in x = 0;
(ii) Reflection in y = 2.

Question 4. Use a graph paper for this question.
(i) The point P (2, – 4) is reflected about the line x = 0 to get the image Q. Find the coordinates of Q.
(ii) Point Q is reflected about the line y = 0 to get the image R. Find the co-ordinates of R.
(iii) Name the figure PQR.
(iv) Find the area of figure PQR.


Question 5. Using a graph paper, plot the points A (6,4) and B (0,4).
(i) Reflect A and B in the origin to get the images A’ and B’.
(ii) Write the co-ordinates of A’ and B’.
(iii) State the geometrical name for. the figure ABA’B’.
(iv) Find its perimeter.


Question 6. (i) Find the reflection of the point (3, 5) on X-axis.
(ii) Find the reflection of the point (- 3, 5) on X-axis.
(iii) Find the reflection of the point (- 3, – 5) on X-axis.
(iv) Find the reflection of the point (3, – 5) on X-axis.

Question 7. P, Q have co-ordinates (-1, 2) and (6, 3) respectively. Reflect P on the X-axis to P’. Find:
(i) The co-ordinate of P’
(ii) Length of P’Q.
(iii) Length of PQ.
(iv) Is P’Q = PQ ?

Question 8. A point P(4, – 1) is reflected to P’ in the line y = 2 followed by the reflection to P” in the line x = -1. Find :
(i) The co-ordinates of P’.
(h) The co-ordinates of P”.
(iii) The length of PP’.
(iv) The length of P’P”.


Question 9. Point A (5, 1) on reflection on X- axis is mapped as A’. Also A on reflection on Y- axis is mapped as A”.
(i) Write the co-ordinates of A’.
(ii) Write the co-ordinates of A”.
(iii) Calculate the distance A’ A”.
(iv) On which coordinate axis does the middle point M of A”A’ lie ?

Question 10. Point A(4, – 1) is reflected as A’ on Y-axis. Point B on refletion on X-axis is mapped as B’ (- 2, 5).
(i) Write the co-ordinates of A’.
(ii) Write the co-ordinates of B.
(iii) Write the co-ordinates of the middle point
M of the segment A’B.
(iv) Write the co-ordinates of the point of reflection A” of A on X-axis.

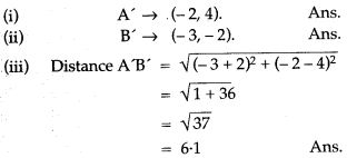
Question 11. Point A (2, -4) is reflected in origin as A’. Point B (- 3, 2) is reflected on X-axis as B’.
(i) Write the co-ordinates of A’.
(ii) Write the co-ordinates of B’.
(iii) Calculate the distance A’B’.
Give your answer correct to 1 decimal place, (do not consult tables).


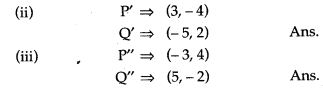
Question 12. (i) Point P(a, b) reflected on the X-axis to P'(5, 2). Write down the value of a and b.
(ii) P” is the image of P when reflected on the Y-axis. Write down the co-ordinates of P”.
(iii) Name a single transformation that maps P’ to P”.

Question 13. Points (3, 0) and (-1, 0) are invarient points under reflection in the line L1; point (0, -3) and (0, 1) are invarient points on reflection in line L2.


Question 14. A point P(a, b) is reflected in the X-axis to P'(2, – 3). Write down the value of a & b. P” is the image of P, when reflected on the Y-axis. Write down the co-ordinates of P” when P is reflected in the line parallel to the Y-axis, such that x = 4.

Question 15. Use a graph paper to answer the following questions. (Take 1 cm = 1 unit on both axis):
(i) Plot A (4, 4), B (4, – 6) and C (8, 0), the vertices of a triangle ABC.
(ii) Reflect ABC on the y-axis and name it as A’B’C’.
(iii) Write the coordinates of the images A’, B’ and C’.
(iv) Give a geometrical name for the figure AA’ C’B’ BC.
(v) Identify the line of symmetry of AA’ C’ B’ BC.

Question 16. Use a graph paper for this question. (Take 10 small divisions = 1 unit on both axis). P and Q have co-ordinates (0, 5) (- 2, 4).
(i) P is invariant when reflected in an axis. Name the axis.
(ii) Find the image of Q on reflection in the axis found in (i).
(iii) (0, k) on reflection in the origin is invariant. Write the value of k.
(iv) Write the co-ordinates of the image of Q, obtained by reflecting it in the origin following by reflection in x-axis.





Question 18. The point P(3, 4) is reflected to P’ in the x-axis and O’ is the image of O (the Origin) in the line PP’ Find :
(i) The coordinates of P’ and O’.
(ii) The length of segment PP’ and OO’.
(iii) The perimeter of the quadrilateral POP’O’
(iv) What is the special name of the quadrilateral POP’O’.

Question 19. Use graph paper for this question.
The points A (2, 3), B (4, 5) and C (7, 2) are the ,vertices of A ABC.
(i) Write down the coordinates of A’, B’, C’ if Δ A’B’C’ is the image of Δ ABC, when reflected in the origin.
(ii) Write down the co-ordinates of A”, B”, C” if A”B”C” is the image of Δ ABC, when reflected in the x-axis.
(iii) Mention the special name of the quadrilateral BCC”B” and find its area.




Question 20. Use a graph paper for this question (take 10 small divisions = 1 unit on both axis).
Plot the points P (3, 2) and Q (-3, -2), from P and Q draw perpendicular PM and QN on the X- axis.
(i) Name the image of P on reflection at the origin.
(ii) Assign, the . special name to the geometrical figure. PMQN and find its area.
(iii) Write the co-ordinates of the point to which M is mapped on reflection in (i) X- axis,
(ii) Y-axis, (iii) origin.

Question 21. Using graph paper and taking 1 cm = 1 unit along both x-axis and y-axis.
(i) Plot the points A (- 4, 4) and B (2, 2).
(ii) Reflect A and B in the origin to get the images A’ and B’ respectively.
(iii) Write down the co-ordinates of A’ and B’.
(iv) Give the geometrical name for the figure ABA’B’.
(v) Draw and name its lines of symmetry.

Question 22. Use graph paper for this question.
The point P (5, 3) was reflected in the origin to get the image P’.
(i) Write down the co-ordinates of P’.
(ii) If M is the foot of the perpendicular from of P to the X-axis, find the co-ordinates of M.
(iii) If N is the foot of the perpendicular from of P’ to the X-axis, find the co-ordinates of N.
(iv) Name the figure PMP’N.
(v) Find the area of die figure PMP’N.


Question 23. Use graph paper to answer this question:
(i) Plot the points A (4,6) and B (1, 2).
(ii) A’ is the image of A when reflected in X-axis,
(iii) B’ is the image of B when B is reflected in the line AA’.
(iv) Give the geometrical name for the figure ABA’B’.

Question 24. Use graph paper to answer the following questions. (Take 2 cm = 1 unit on both axis).
(i) Plot the points A (- 4, 2) and B (2, 4).
(ii) A’ is the image of A when reflected in the y-axis. Plot it on the graph paper and write the coordinates of A’.
(iii) B’ is the image of B when reflected in the line AA’. Write the coordinates of B’.
(iv) Write the geometric name of the figure ABA’B’.
(v) Name a line of symmetry of the figure formed.

For More Resources