Powers of Products
Rule: For all numbers x and y , and integers n,
“Notice: each factor of the product gets raised to the new power.”
“Be sure to notice that this rule ONLY works when the inside of the parentheses is a single term (a product). ”
“(no + signs or – signs separating the items).”
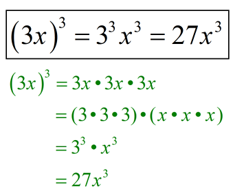
Consider:

Check out these examples of this rule at work:
- (4a)4 = 44a4 = 256a4
Notice how the 5 inside the parentheses is also affected by the power of 5. - (2a2)4 = 24(a2)4 = 24a8 = 16a8
Notice how the “power to a power” rule was used here to raise a2 to the power of 4. - 4(2x3)2 = 4•22(x3)2 = 4•4•x6 = 16x6
Notice that the number 4 out in front is not affected by the power of 2 since it is not within the parentheses. - P = (2K)2W = 22K2W = 4K2W
Formulas often involve working with powers.