Power to a Power
Rule: For all numbers x, and integers n and m,
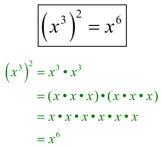
“This simply means when raising a power to a power, multiply the exponents.”
Consider:

Take a look at the following examples which illustrate this rule:
- (53)5 = 515
Power raised to a power → multiply the exponents. - (a6)3 = a18
Power raised to a power → multiply the exponents. - (4x)y= 4xy
Power raised to a power → multiply the exponents. - (x2)x+3 = x2x+6
Power raised to a power → multiply the exponents.