NCERT Solutions for Class 9 Maths Chapter 2 Polynomials Ex 2.5 are part of NCERT Solutions for Class 9 Maths. Here we have given NCERT Solutions for Class 9 Maths Chapter 2 Polynomials Ex 2.5.
NCERT Solutions for Class 9 Maths Chapter 2 Polynomials Ex 2.5
Question 1.
Use suitable identities to find the following products
(i) (x + 4)(x + 10)
(ii) (x+8) (x -10)
(iii) (3x + 4) (3x – 5)
(iv) (y2+ \(\frac { 3 }{ 2 }\)) (y2– \(\frac { 3 }{ 2 }\))
(v) (3 – 2x) (3 + 2x)
Solution:
(i) (x+ 4) (x + 10)
Using identity (iv), i.e., (x+ a) (x+ b) = x2 + (a + b) x+ ab.
We have, (x+4) (x + 10) = x2+(4 + 10) x + (4x 10) (∵ a = 4, b = 10)
= x2 + 14x+40
(ii) (x+ 8) (x -10)
Using identity (iv), i.e., (x + a) (x + b) = x2 + (a + b) x + ab
We have, (x + 8) (x – 10) = x2 + [8 + (-10)] x + (8) (- 10)(∵a = 8, b = -10)
= x2 – 2x – 80
(iii) (3x + 4) (3x – 5)
Using identity Eq. (iv), i.e.,
(x + a) (x + b) = x2 + (a + b) x + ab
We have, (3x + 4) (3x – 5) = (3x)2 + (4 – 5) x + (4) (- 5) (∵a = 4, b = -5)
= 9x2 – x – 20
Question 2.
Evaluate the following products without multiplying directly
(i) 103 x 107
(ii) 95 x 96
(iii) 104 x 96
Solution:
(i) 103 x 107 = (100 + 3) (100 + 7)
= 100 x 100+ (3 + 7) (100)+ (3 x 7) [Using identity (iv)]
= 10000+ 1000+21 = 11021
(ii) 95 x 96 = (100-5) (100-4)
= 100 x 100 + [(- 5) + (- 4)] 100 + (- 5 x – 4) [Using identity (iv)]
= 10000 – 900 + 20 = 9120
(iii) 104 x 96 = (100 + 4) (100 – 4)
= (100)2-42 [Using identity (iii)]
= 10000-16 = 9984
Question 3.
Factorise the following using appropriate identities
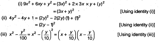
(i) 9x2+6xy+ y2
(ii) 4y2-4y + 1
(iii) x2 –\(\frac { { y }^{ 2 } }{ 100 }\)
Solution:

Question 4.
Expand each of the following, using suitable identity
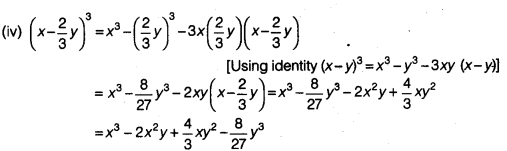
(i) (x+2y+ 4z)2
(ii) (2x – y + z)2
(iii) (- 2x + 3y + 2z)2
(iv) (3a -7b – c)z
(v) (- 2x + 5y – 3z)2
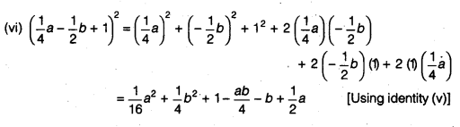
(vi) ( \(\frac { 1 }{ 4 }\)a –\(\frac { 1 }{ 4 }\)b + 1) 2
Solution:
(i) (x + 2y + 4z)2 = x2 + (2y)2 + (4z)2 + 2 (x) (2y) + 2 (2y) (4z) + 2(4z) (x) [Using identity (v)]
= x2 + 4y2 + 16z2 + 4xy + 16yz + 8 zx
(ii) (2x – y + z)2 = (2x)2 + (- y)2 + z2 + 2 (2x) (- y)+ 2 (- y) (z) + 2 (z) (2x) [Using identity (v)]
= 4x2 + y2 + z2 – 4xy – 2yz + 4zx
(iii) (- 2x + 3y + 2z)2 = (- 2x)2 + (3y)2 + (2z)2 + 2 (- 2x) (3y)+ 2 (3y) (2z) + 2 (2z) (- 2x) [Using identity (v)]
= 4x2 + 9y2 + 4z2 – 12xy + 12yz – 8zx
(iv) (3a -7b- c)2 = (3a)2 + (- 7b)2 + (- c)2 + 2 (3a) (- 7b) + 2 (- 7b) (- c) + 2 (- c) (3a) [Using identity (v)]
= 9a2 + 49b2 + c2 – 42ab + 14bc – 6ac
(v) (- 2x + 5y- 3z)2 = (- 2x)2 + (5y)2 + (- 3z)2 + 2 (- 2x) (5y) + 2 (5y) (- 3z) + 2 (- 3z) (- 2x) [Using identity (v)]
= 4x2 + 25y2 + 9z2 – 20xy – 30yz + 12zx

Question 5.
Factorise
(i) 4 x2 + 9y2 + 16z2 + 12xy – 24yz – 16xz
(ii) 2x2 + y2 + 8z2 – 2√2xy + 4√2yz – 8xz
Solution:
(i) 4x2 + 9y2 + 16z2 +12xy-24yz-16xz
= (2x)2 + (3y)2 + (- 4z)2 + 2 (2x) (3y) + 2 (3y) (- 4z) + 2 (- 4z) (2x)
= (2x + 3y – 4z)2
(ii) 2x2 + y2 + 8z2 – 2√2xy + 4√2yz – 8xz
= (- √2x)2 + (y)2 + (2 √2z)2 + 2(- √2x) (y)+ 2 (y) (2√2z) + 2 (2√2z) (- √2x)
= (- √2x + y + 2 √2z)2
Question 6.
Write the following cubes in expanded form

Solution:
(i) (2x + 1)3 = (2x)3 + 13 + 3 (2x) (1) (2x + 1) [Using identity (x + y)3 = x3 + y3 + 3xy (x + y)]
= 8x3 + 1 + 6x (2x + 1)
= 8x3 + 1 + 12x2 + 6x= 8x3 + 12x2 + 6x + 1
(ii) (2a – 3b)3 = (2a)3 – (3b)3 -3(2a)(3b)(2a-3b) [Using identity (x-y)3=x3-y3 -3xy(x-y)]
= 8a3-27b3-18ab(2a-3b)
= 8a3 – 27 b3 – 36a2b + 54ab2
=8a3 – 36a2b + 54ab2 – 27 b3


Question 7.
Evaluate the following using suitable identities
(i) (99)3
(ii) (102)3
(iii) (998)3
Solution:
(i) (99)3 =(100-1)3 = 1003 -(1)3 – 3x 100x 1(100-1) [Using identity (x-y)3 =x3-y3-3xy (x-y)]
=1000000-1-300(100-1)
=1000000-1-30000+300
=970299
(ii) (102)3 = (100+ 2)3 = 1003 + 23 + 3x 100x 2 (100+ 2 [Using identity (x + y)3 = x3 + y3 + 3xy (x + y)]
=1000000 + 8 + 600(100+ 2)
=1000000 + 8 + 60000+ 1200=1061208
(iii) (998)3 = (1000-2)3 =10003 – 23 – 3x 1000x 2(1000-2) [Using identity (x-y)3=x3-y3-3xy (x-y)]
=1000000000-8-6000(1000-2)
= 1000000000- 8 – 6000000+12000
=994011992
Question 8.
Factorise each of the following
(i) 8a3 +b3 + 12a2b+6ab2
(ii) 8a3 -b3-12a2b+6ab2
(iii) 27-125a3 -135a+225a2
(iv) 64a3 -27b3 -144a2b + 108ab2
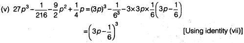
![]()
Solution:
(i) 8a3 +b3 +12a2b+6ab2 = (2a)3 + b3 + 3x 2axb (2a+ b)
=(2a+b)3 [Using identity (vi)]
(ii) 8a3 -b3 -12a2b+ 6ab2 = (2a)3 + (-b)3 + 3x2ax (-b)[(2a)+ (-b)]
= (2a)3 – (b)3 – 3 x 2ax b (2a-b) [Using identity (vii)]
=(2 a-b)3
(iii) 27-125a3-135a + 225a2 =(3)3 + (-5a)3 + 3x3x(-5a)[(3)+(-5a)]
= (3)3 -(5a)3– 3x3x5a(3-5a) [Using identity (vii)]
= (3=5 a)3
(iv) 64a3 – 27b3 -144a2b +108ab2 =(4a)3 + (-3b)3 + 3x4ax(-3b)[4a+ (-3b)]
=(4a)3-(3b)3-3x4ax3b(4a-3b)
=(4a-3b)3 [Using identity (vii)]

Question 9.
Verify
(i) x3 + y3 = (x + y)-(x2 – xy + y2)
(ii) x3 – y3 = (x – y) (x2 + xy + y2)
Solution:
(i) We know that,
(x + y)3 = x3 + y3 + 3xy (x + y)
⇒ x3 + y3 = (x + y)3 – 3xy (x + y)
= (x + y) [(x + y)2 – 3xy]
= (x + y) [x2 + y2 + 2xy – 3xy]
= (x + y) [x2 + y2 – xy]
= RHS
Hence proved,
(ii) We .know that,
(x – y)3 = x3 – y3 – 3xy (x – y) x3 – y3
= (x – y)3 + 3xy (x – y)
= (x – y) [(x – y)2 + 3xy]
= (x – y) [x2 + y2 + 2xy + 3xy]
= (x – y) [x2 + y2 + xy]
= RHS
Hence proved.
Question 10.
Factorise each of the following
(i) 27y3 + 125z
(ii) 64rh3 – 343n [Hint See question 9]
Solution:
(i) 27y3 + 125z3 = (3y)3 + (5z)3
= (3y + 5z) [(3y)2 – (3y) (5z) + (5z)2]
= (3y + 5z) (9y2 – 15yz + 25z2)
(ii) 64 m3 – 343 n3 = (4m)3 – (7n)3
= (4m – 7n) [(4m)2 + (4m) (7n) + (7n)2]
= (4m – 7 n) [16m2 + 28mn + 49n2]
Question 11.
Factorise 27x3 +y3 +z3 -9xyz.
Solution:
27x3 + y3 + z3-9xyz=(3x)3 + y3 + z3 -3x 3xx yx z
=(3x+y+z)[(3x)2 + y2 + z2– 3xy – yz -z(3x)][Using identity (viii)]
=(3x+ y + z) (9x2 + y2 + z2 -3xy -yz -3zx)
Question 12.
Verify that
x3 +y3 +z3 -3xyz = \(\frac { 1 }{ 2 }\) (x + y+z)[(x-y)2 +(y-z)2 +(z-x)2]
Solution:
x3 + y3 + z3-3xyz = (x+y+z)[x2 + y2 + z2-xy-yz-zx]
= \(\frac { 1 }{ 2 }\)(x+ y+ z)[2x2 + 2y2 + 2z2 – 2xy- 2yz – 2zx]
= \(\frac { 1 }{ 2 }\)(x+y+z)[x2 + x2 + y2 + y2 + z2 + z2 – 2xy – 2yz – 2zx]
= \(\frac { 1 }{ 2 }\)(x+y+ z)[x2 + y2 – 2xy+ y2 + z2 – 2yz+ z2 + x2 -2zx]
= \(\frac { 1 }{ 2 }\)(x+y+z)[(x-y)2 + (y-z)2 + (z-x)2]
Question 13.
If x + y + z = 0, show that x3 + y3 + z3 = 3 xyz.
Solution:
We know that,
x3 + y3 + z3 – 3 xyz = (x + y + z) (x2 + y2 + z2 – xy – yz – zx [Using identity (viii)]
= 0(x2 + y2 + z2 – xy – yz – zx) (∵ x + y + z = 0 given)
= 0
⇒ x3 + y3 + z3 = 3 xyz
Hence proved.
Question 14.
Without actually calculating the cubes, find the value of each of the following
(i) (- 12)3 + (7)3 + (5)3
(ii) (28)3 + (- 15)3 + (- 13)3
Solution:
We know that, x3 + y3 + z3 -3xyz
=(x+y+z)(x2 + y2 + z2 – xy – yz – zx)
If x+y+z=0, then x3 + y3 + z3-3xyz=0
or x3 + y3 + z3 = 3xyz
(i) We have to find the value of (-12)3 + (7)3 + (5)3
Here, -12+7+5=0
So, (-12)3 + (7)3 + (5)3= 3x(-12)(7)(5)
=-1260
(ii) We have to find the value of (28)3 + (-15)3 + (-13)3.
Here, 28+(-15)+(-13)=28-15-13 =0
So, (28)3 + (-15)3 + (-13)3
= 3x (28) (-15) (-13)
= 16380
Question 15.
Give possible expressions for the length and breadth of each of the following rectangles, in which their areas are given
(i) Area 25a2 – 35a + 12
(ii) Area 35y2 + 13y – 12
Solution:
(i) We have, area of rectangle
= 25a2 – 35a+12
= 25a2 – 20a – 15a+12
= 5a(5a – 4)-3(5a – 4)=(a-4)(5a – 3)
Possible expression for length =5a-3
and breadth =5a-4
(ii) We have, Area of rectangle = 35y2+13y – 12=35y2 -15y + 28y – 12
=5y(7y – 3)+4(7y – 3) = (7y – 3)(5y+4)
Possible expression on for length =7y-3
and breadth =5y+4
Question 16.
What are the possible expressions for the dimensions of the cuboids whose volumes are given below?
(i) Volume 3x2 – 12x
(ii) Volume 12ky2 + 8ky – 20k
Solution:
(i) We have, volume of cuboid =3x2-12x=3x(x – 4)
One possible expressions for the dimensions of the cuboid is 3, x and x-4.
(ii) We have, volume of cuboid =12ky2 + 8ky-20k
=12ky2 + 20ky-12ky-20k
=4ky (3y+5) – 4k(3y+5)
=(3y+5)(4ky – 4k)
=(3y+5)4k(y – 1)
One possible expressions for the dimensions of the cuboid is 4k, 3y+5 and y – 1.
We hope the NCERT Solutions for Class 9 Maths Chapter 2 Polynomials Ex 2.5, help you. If you have any query regarding NCERT Solutions for Class 9 Maths Chapter 2 Polynomials Ex 2.5, drop a comment below and we will get back to you at the earliest.