NCERT Solutions for Class 9 Maths Chapter 1 Number Systems Ex 1.6 are part of NCERT Solutions for Class 9 Maths. Here we have given NCERT Solutions for Class 9 Maths Chapter 1 Number Systems Ex 1.6.
- Class 9 Maths Number Systems Ex 1.1
- Class 9 Maths Number Systems Ex 1.2
- Class 9 Maths Number Systems Ex 1.3
- Class 9 Maths Number Systems Ex 1.4
- Class 9 Maths Number Systems Ex 1.5
NCERT Solutions for Class 9 Maths Chapter 1 Number Systems Ex 1.6
Question 1.
Find:
![]()
Solution:

Question 2.
Find:
![]()
Solution:

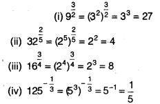
Question 3.
Simplify:

Solution:

We hope the NCERT Solutions for Class 9 Maths Chapter 1 Number Systems Ex 1.6, help you. If you have any query regarding NCERT Solutions for Class 9 Maths Chapter 1 Number Systems Ex 1.6, drop a comment below and we will get back to you at the earliest.