Get the comprehensive Chapter 8 Ex 8.2 Class 10 Maths NCERT Solutions from here and score good marks in CBSE Class 10 Board Examinations
NCERT Solutions for Class 10 Maths Chapter 8 Introduction to Trigonometry Ex 8.2 are part of NCERT Solutions for Class 10 Maths. Here are we have given Chapter 8 Introduction to Trigonometry Class 10 NCERT Solutions Ex 8.2.
- Introduction to Trigonometry Class 10 Ex 8.1
- Introduction to Trigonometry Class 10 Ex 8.3
- Introduction to Trigonometry Class 10 Ex 8.4
| Board | CBSE |
| Textbook | NCERT |
| Class | Class 10 |
| Subject | Maths |
| Chapter | Chapter 8 |
| Chapter Name | Introduction to Trigonometry |
| Exercise | Ex 8.2 |
| Number of Questions Solved | 4 |
| Category | NCERT Solutions |
NCERT Solutions for Class 10 Maths Chapter 8 Introduction to Trigonometry Ex 8.2
NCERT Solutions for Class 10 Maths
Page No: 187
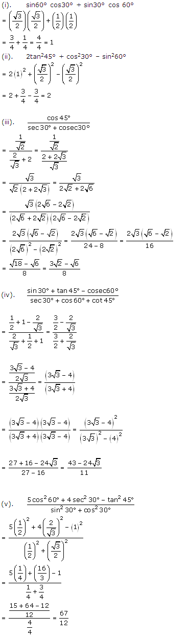
Question 1. Evaluate the following :
(i) sin 60° cos 30° + sin 30° cos 60°
(ii) 2 tan245° + cos230° – sin260°
(iii) \(\frac { cos45^{ 0 } }{ sec{ 30 }^{ 0 }+cosec{ 30 }^{ 0 } } \)
(iv) \(\frac { sin{ 30 }^{ 0 }+tan45^{ 0 }-cosec{ 60 }^{ 0 } }{ sec{ 30 }^{ 0 }+cosec{ 60^{ 0 } }+cot{ 45 }^{ 0 } } \)
(v) \(\frac { 5cos^{ 2 }{ 60 }^{ 0 }+4sec^{ 2 }{ 30 }^{ 0 }-tan^{ 2 }{ 45 }^{ 0 } }{ sin^{ 2 }{ 30 }^{ 0 }+cos^{ 2 }{ 30 }^{ 0 } } \)
Solution:

Question 2. Choose the correct option and justify your choice :
(i) \(\frac { 2tan{ 30 }^{ 0 } }{ 1+tan^{ 2 }{ 30 }^{ 0 } } =\)
(A) sin 60° (B) cos 60° (C) tan 60° (D) sin 30°
(ii) \(\frac { 1-tan{ ^{ 2 }45 }^{ 0 } }{ 1+tan{ ^{ 2 }45 }^{ 0 } } =\)
(A) tan 90° (B) 1 (C) sin 45° (D) 0
(iii) sin 2A = 2 sin A is true when A =
(A) 0° (B) 30° (C) 45° (D) 60°
(iv) \(\frac { 2tan{ 30 }^{ 0 } }{ 1-tan{ ^{ 2 }30 }^{ 0 } } =\)
(A) cos 60° (B) sin 60° (C) tan 60° (D) sin 30°
Solution:


Question 3. If tan (A + B) = √3 and tan (A – B) = 1/√3; 0° < A + B ≤ 90°; A > B, find A and B.
Solution:

Question 4. State whether the following are true or false. Justify your answer.
(i) sin (A + B) = sin A + sin B.
(ii) The value of sin θ increases as θ increases.
(iii) The value of cos θ increases as θ increases.
(iv) sin θ = cos θ for all values of θ.
(v) cot A is not defined for A = 0°.
Solution:

We hope the NCERT Solutions for Class 10 Maths Chapter 8 Introduction to Trigonometry Ex 8.2 help you. If you have any query regarding NCERT Solutions for Class 10 Maths Chapter 8 Introduction to Trigonometry Ex 8.2, drop a comment below and we will get back to you at the earliest.