NCERT Solutions for Class 10 Maths Chapter 14 Statistics Ex 14.2 are part of NCERT Solutions for Class 10 Maths. Here are we have given Chapter 14 Statistics Class 10 NCERT Solutions Ex 14.2.
| Board | CBSE |
| Textbook | NCERT |
| Class | Class 10 |
| Subject | Maths |
| Chapter | Chapter 14 |
| Chapter Name | Statistics |
| Exercise | Ex 14.2 |
| Number of Questions Solved | 6 |
| Category | NCERT Solutions |
NCERT Solutions for Class 10 Maths Chapter 14 Statistics Ex 14.2
NCERT Solutions for Class 10 Maths
Question 1.
The following table shows the ages of the patients admitted in a hospital during a year:
| Age (in years) | 5 – 15 | 15 – 25 | 25 – 35 | 35 – 45 | 45 – 55 | 55 – 65 |
| Number of patients | 6 | 11 | 21 | 23 | 14 | 5 |
Find the mode and the mean of the data given above. Compare and interpret the two measures of central tendency.
Solution:
We may compute class marks (xi) as per the relation

Now taking 30 as assumed mean (a) we may calculate di and fidi as following.
| Age (in years) | Number of patients fi | class mark xi | di= xi – 30 | fidi |
| 5 – 15 | 6 | 10 | -20 | -120 |
| 15 – 25 | 11 | 20 | -10 | -110 |
| 25 – 35 | 21 | 30 | 0 | 0 |
| 35 – 45 | 23 | 40 | 10 | 230 |
| 45 – 55 | 14 | 50 | 20 | 280 |
| 55 – 65 | 5 | 60 | 30 | 150 |
| Total | 80 | 430 |
From the table we may observe that

Clearly, mean of this data is 35.38. It represents that on an average the age of a patient admitted to hospital was 35.38 years.
As we may observe that maximum class frequency is 23 belonging to class interval 35 – 45.
So, modal class = 35 – 45
Lower limit (l) of modal class = 35
Frequency (f1) of modal class = 23
Class size (h) = 10
Frequency (f0) of class preceding the modal class = 21
Frequency (f2) of class succeeding the modal class = 14

Clearly mode is 36.8.It represents that maximum number of patients admitted in hospital were of 36.8 years.
Question 2.
The following data gives the information on the observed lifetimes (in hours) of 225 electrical components:
| Lifetimes (in hours) | 0 – 20 | 20 – 40 | 40 – 60 | 60 – 80 | 80 – 100 | 100 – 120 |
| Frequency | 10 | 35 | 52 | 61 | 38 | 29 |
Determine the modal lifetimes of the components.
Solution:
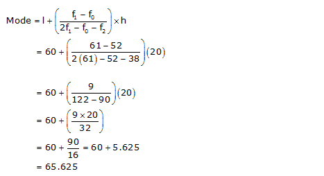
From the data given as above we may observe that maximum class frequency is 61 belonging to class interval 60 – 80.
So, modal class = 60 – 80
Lower class limit (l) of modal class = 60
Frequency (f1) of modal class = 61
Frequency (f0) of class preceding the modal class = 52
Frequency (f2) of class succeeding the modal class = 38
Class size (h) = 20

So, modal lifetime of electrical components is 65.625 hours.
Question 3.
The following data gives the distribution of total monthly household expenditure of 200 families of a village. Find the modal monthly expenditure of the families. Also, find the mean monthly expenditure.
| Expenditure (in Rs) | Number of families |
| 1000 – 1500 | 24 |
| 1500 – 2000 | 40 |
| 2000 – 2500 | 33 |
| 2500 – 3000 | 28 |
| 3000 – 3500 | 30 |
| 3500 – 4000 | 22 |
| 4000 – 4500 | 16 |
| 4500 – 5000 | 7 |
Solution:
We may observe from the given data that maximum class frequency is 40 belonging to 1500 – 2000 intervals.
So, modal class = 1500 – 2000
Lower limit (l) of modal class = 1500
Frequency (f1) of modal class = 40
Frequency (f0) of class preceding modal class = 24
Frequency (f2) of class succeeding modal class = 33
Class size (h) = 500

Now we may find class mark as

Class size (h) of give data = 500
Now taking 2750 as assumed mean (a) we may calculate di, ui and fiui as following
| Expenditure (in Rs) | Number of familiesfi | xi | di = xi – 2750 | fiui | |
| 1000 – 1500 | 24 | 1250 | -1500 | -3 | -72 |
| 1500 – 2000 | 40 | 1750 | -1000 | -2 | -80 |
| 2000 – 2500 | 33 | 2250 | -500 | -1 | -33 |
| 2500 – 3000 | 28 | 2750 | 0 | 0 | 0 |
| 3000 – 3500 | 30 | 3250 | 500 | 1 | 30 |
| 3500 – 4000 | 22 | 3750 | 1000 | 2 | 44 |
| 4000 – 4500 | 16 | 4250 | 1500 | 3 | 48 |
| 4500 – 5000 | 7 | 4750 | 2000 | 4 | 28 |
| Total | 200 | -35 |
Now from table may observe that

So, mean monthly expenditure was Rs.2662.50.
Question 4.
The following distribution gives the state-wise teacher-student ratio in higher secondary schools of India. Find the mode and mean of this data. Interpret the two measures.
| Number of students per teacher | Number of states/U.T |
| 15 – 20 | 3 |
| 20 – 25 | 8 |
| 25 – 30 | 9 |
| 30 – 35 | 10 |
| 35 – 40 | 3 |
| 40 – 45 | 0 |
| 45 – 50 | 0 |
| 50 – 55 | 2 |
Solution:
We may observe from the given data that maximum class frequency is 10 belonging to class interval 30 – 35.
So, modal class = 30 – 35
Class size (h) = 5
Lower limit (l) of modal class = 30
Frequency (f1) of modal class = 10
Frequency (f0) of class preceding modal class = 9
Frequency (f2) of class succeeding modal class = 3

It represents that most of states/U.T have a teacher student ratio as 30.6
Now we may find class marks by using the relation

Now taking 32.5 as assumed mean (a) we may calculate di, ui and fiui as following.
| Number of students per teacher | Number of states/U.T (fi) | xi | di = xi – 32.5 | fiui | |
| 15 – 20 | 3 | 17.5 | -15 | -3 | -9 |
| 20 – 25 | 8 | 22.5 | -10 | -2 | -16 |
| 25 – 30 | 9 | 27.5 | -5 | -1 | -9 |
| 30 – 35 | 10 | 32.5 | 0 | 0 | 0 |
| 35 – 40 | 3 | 37.5 | 5 | 1 | 3 |
| 40 – 45 | 0 | 42.5 | 10 | 2 | 0 |
| 45 – 50 | 0 | 47.5 | 15 | 3 | 0 |
| 50 – 55 | 2 | 52.5 | 20 | 4 | 8 |
| Total | 35 | -23 |

So mean of data is 29.2
It represents that on an average teacher – student ratio was 29.2.
Question 5.
The given distribution shows the number of runs scored by some top batsmen of the world in one-day international cricket matches.
| Number of students per teacher | Number of states/U.T |
| 3000 – 4000 | 4 |
| 4000 – 5000 | 18 |
| 5000 – 6000 | 9 |
| 6000 – 7000 | 7 |
| 7000 – 8000 | 6 |
| 8000 – 9000 | 3 |
| 9000 -10000 | 1 |
| 10000 – 11000 | 1 |
Find the mode of the data.
Solution:
From the given data we may observe that maximum class frequency is 18 belonging to class interval 4000 – 5000.
So, modal class = 4000 – 5000
Lower limit (l) of modal class = 4000
Frequency (f1) of modal class = 18
Frequency (f0) of class preceding modal class = 4
Frequency (f2) of class succeeding modal class = 9
Class size (h) = 1000

So mode of given data is 4608.7 runs.
Question 6.
A student noted the number of cars passing through a spot on a road for 100 periods each of 3 minutes and summarised it in the table given below. Find the mode of the data:
| Number of cars | 0 – 10 | 10 – 20 | 20 – 30 | 30 – 40 | 40 – 50 | 50 – 6 | 60 – 70 | 70 – 80 |
| Frequency | 7 | 14 | 13 | 12 | 20 | 11 | 15 | 8 |
Solution:
From the given data we may observe that maximum class frequency is 20 belonging to 40 – 50 class intervals.
So, modal class = 40 – 50
Lower limit (l) of modal class = 40
Frequency (f1) of modal class = 20
Frequency (f0) of class preceding modal class = 12
Frequency (f2) of class succeeding modal class = 11
Class size = 10

So mode of this data is 44.7 cars.
We hope the NCERT Solutions for Class 10 Maths Chapter 14 Statistics Ex 14.2 help you. If you have any query regarding NCERT Solutions for Class 10 Maths Chapter 14 Statistics Ex 14.2, drop a comment below and we will get back to you at the earliest.