How do you Multiply and Divide Rational Numbers?
Multiplication of Rational Numbers
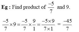
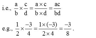
(a) Let \(\frac { a }{ b }\) and c are two rational numbers, then \(\frac { a }{ b } \times c=\frac { ac }{ b }\)

(b) When we multiply two rational numbers :

- On multiplying two rational numbers, we get result as a rational number.

- \(\frac { 1 }{ 3 } \times \frac { 1 }{ 4 } =\frac { 1 }{ 4 } \times \frac { 1 }{ 3 }\) (commutative i.e., on changing the order the result remains same)
- \(\frac { 1 }{ 3 } \times \left( \frac { 1 }{ 4 } \times \frac { 1 }{ 5 } \right) =\left( \frac { 1 }{ 3 } \times \frac { 1 }{ 4 } \right) \times \frac { 1 }{ 5 }\) (associative)
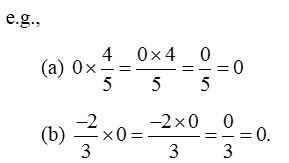
- If 0 is multiplied to any rational number, the result is always zero.

Multiplication of Rational Numbers on a Number Line
The product of two rational numbers on the number line can be calculated in the following way.


This result reconfirms that the product of two rational numbers is rational number whose numerator is the product of the numerators of the given rational numbers and the denominator is the product of the denominators of the given numbers.
∴ Multiplication is closure (product is rational), commutative (ab = ba) and associative
(a(bc) = (ab)c) for rational number.
Division of Rational Numbers
(a) Let \(\frac { a }{ b }\) be a rational number then its reciprocal will be \(\frac { b }{ a }\)
- The product of a rational number with its reciprocal is always 1.

- Zero has no reciprocal as reciprocal of 0 = \(\left( \frac { 0 }{ 1 } \right)\) is \(\frac { 1 }{ 0 }\) (which is not defined).
- The reciprocal of a rational number is called the multiplicative inverse of rational number.
- 1 and –1 are the only rational numbers which are their own reciprocal.

- Reciprocal of a (+ve) rational number is (+ve) and reciprocal of (–ve) rational number is (–ve).
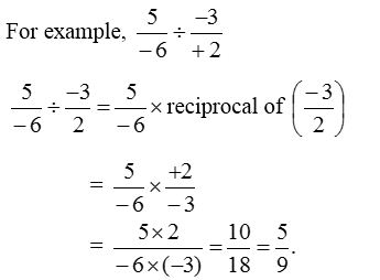
To divide one rational number by other rational numbers we multiply the rational number by the reciprocal of the other


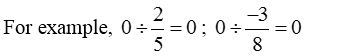
- Zero divided by any rational number is always equal to zero.

Note:
- When a rational number (except zero) is divided by another rational number (except 0) the quotient is always a rational number. (closed under division)

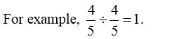
- Division of any rational number by itself gives the quotient 1.

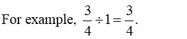
- When a rational number is divided by 1, the quotient is a rational number itself.

Multiplication and Division of Rational Numbers Problems with Solutions
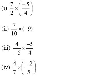
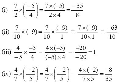
1. Find the product:

Solution:

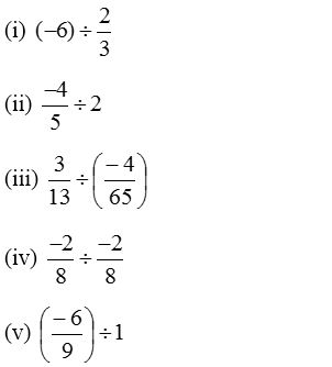
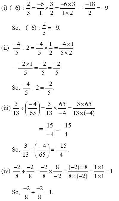
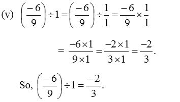
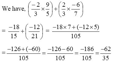
2. Find the value of:

Solution:


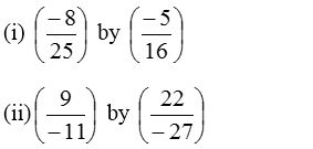
3. Multiply:

Solution:

4. Simplify:

Solution:
