Multiplication Involving Trinomials
Multiplying a Binomial and a Trinomial
Put the “distributive method” of multiplication to work. Multiply each term from the binomial times each term of the trinomial. You can do this by using either a horizontal method or a vertical method.
Note: FOIL will not work in this problem.
Example 1: Multiply: (x – 2)(x2 + 3x – 5)
Horizontal Method:
Multiply each term of the binomial times each term of the trinomial. There will be 6 multiplications. Combine the like terms.

Vertical Method:
Line up the polynomials as you would for numerical multiplication. Be careful of your signs.

Grid Method:
- Place one of the polynomials along the top and the other down the left side.
- Position the terms so that each term (and its sign) lines up with a row or column of the grid.
- Multiply each intersecting row and column to fill the interior of the grid.
- Copy and add all of the terms in the interior of the grid.
- Combine like terms.

Example 2: Multiply: (2x + 7)(x3 + 4x2 – 2x + 6)
Horizontal Method: Multiply each term of the binomial times each term of the cubic polynomial. There will be 8 multiplications. Combine the like terms.

Vertical Method: Line up the polynomials as you would for numerical multiplication. Be careful of your signs.

Grid Method: Set up the grid and multiply.

Example 3: Multiply: (x + 2)(x2 – 4) (missing term in second factor)
Horizontal Method: Multiply each term of the binomial times each term of the cubic polynomial. There will be 8 multiplications. Combine the like terms.

Vertical Method: Line up the polynomials as you would for numerical multiplication. Be careful of your signs. If a term is missing, replacing it with 0 (such as 0x in this example) may help you to line up the terms correctly.

Grid Method: Set up the grid and multiply.
Including the missing term will keep the diagonals working properly in the grid for adding purposes.

Combining the terms by adding along the diagonals:

Example 4: Multiply: (2x2 – x – 1)(x2 – 4x – 2)
Horizontal Method: Multiply each term of the first trinomial times each term of the second trinomial. There will be 9 multiplications. Combine the like terms.

Vertical Method: Line up the polynomials as you would for numerical multiplication. Be careful of your signs.

Grid Method: Set up the grid and multiply.

Cubing a Binomial
(multiplying the binomial times itself 3 times)
![]()
Method 1:
To cube a binomial, multiply it times itself three times. This will require a two step process.
STEP 1: Multiply the first two factors.

STEP 2: Multiply your answer by the third factor.

Method 2:
CASE 1:
![]()
Notice the pattern:
1. There are 4 terms in the pattern.
2. The exponents of a decrease in each term, while the exponents of b increase in each term.
3. The middle terms contain a factor of 3.
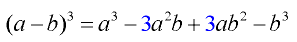
CASE: 2
![]()
The pattern is similar to CASE 1, but the signs of the second and fourth terms are negative.
Remember: if you forget the patterns, just multiply the three factors to get the answer.
Example:
Method 1:
(x + 1)3
= (x + 1)(x + 1)(x + 1)
= (x2 + 2x + 1)(x + 1)
= x3 + 3x2 + 3x + 1
Method 2:
(x + 1)3
= x3 + 3(x2)(1) + 3(x)(12) + 13
= x3 + 3x2 + 3x + 1