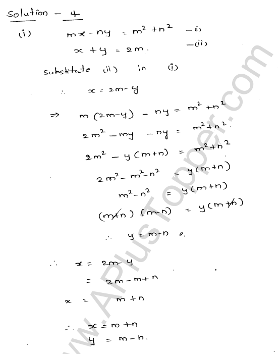
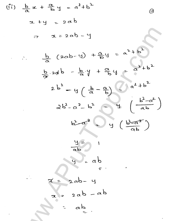
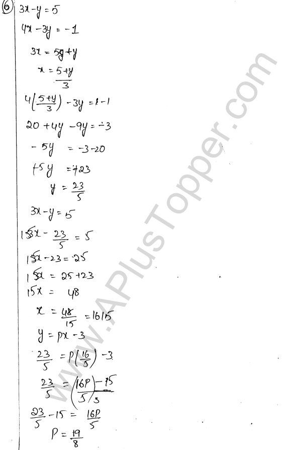
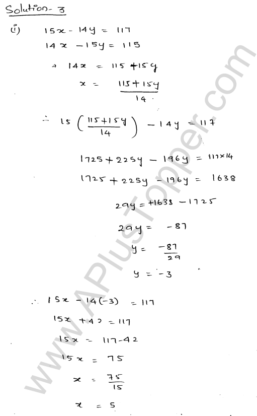
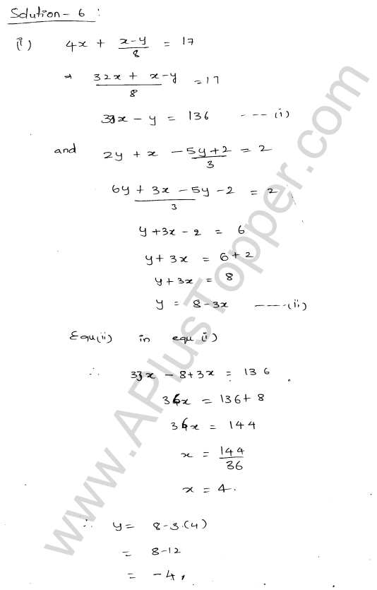
ML Aggarwal Class 9 Solutions Chapter 5 provides comprehensive guidance and step-by-step explanations for the concepts covered in this chapter Class 9 Mathematics. This chapter typically introduces fundamental mathematical concepts, laying the groundwork for future studies.
ML Aggarwal Class 9 Chapter 5 Solutions
ICSE Class 9 Maths Chapter 5 Solutions ML Aggarwal
ML Aggarwal SolutionsICSE SolutionsSelina ICSE Solutions
Understanding ICSE Mathematics Class 9 ML Aggarwal Solutions Pdf Download Chapter 5 Simultaneous Linear Equations






































