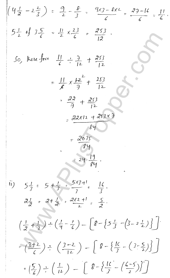
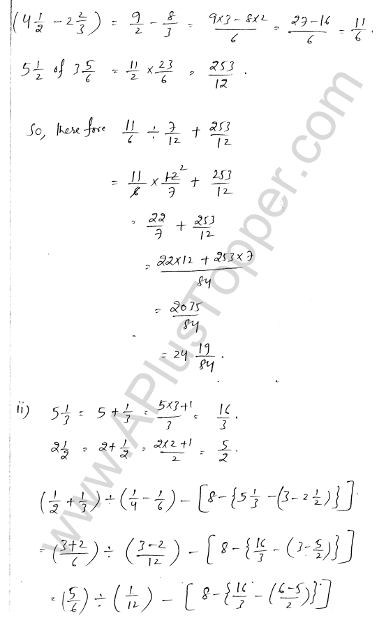
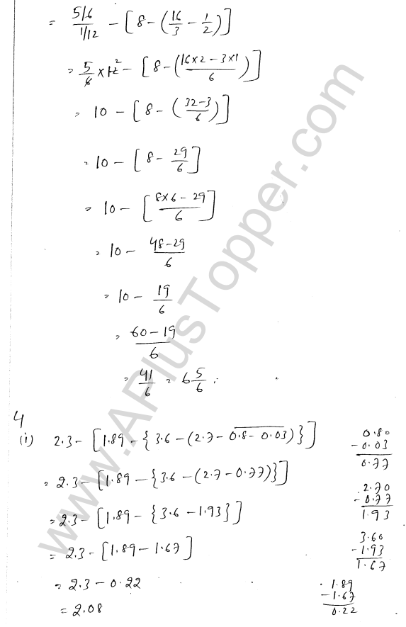
ML Aggarwal Class 7 Solutions Chapter 2 provides comprehensive guidance and step-by-step explanations for the concepts covered in this chapter Class 7 Mathematics. This chapter typically introduces fundamental mathematical concepts, laying the groundwork for future studies.
ML Aggarwal Class 7 Chapter 2 Solutions
ICSE Class 7 Maths Chapter 2 Solutions ML Aggarwal
ML Aggarwal SolutionsICSE SolutionsSelina ICSE Solutions
Understanding ICSE Mathematics Class 7 ML Aggarwal Solutions Pdf Download Chapter 2 Fractions and Decimals


















































