ML Aggarwal Class 7 Solutions Chapter 16 provides comprehensive guidance and step-by-step explanations for the concepts covered in this chapter Class 7 Mathematics. This chapter typically introduces fundamental mathematical concepts, laying the groundwork for future studies.
ML Aggarwal Class 7 Chapter 16 Solutions
ICSE Class 7 Maths Chapter 16 Solutions ML Aggarwal
ML Aggarwal SolutionsICSE SolutionsSelina ICSE Solutions
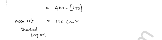
Understanding ICSE Mathematics Class 7 ML Aggarwal Solutions Pdf Download Chapter 16 Perimeter and Area



































