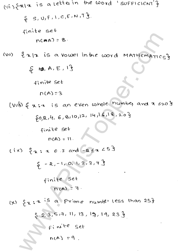
ML Aggarwal Class 6 Solutions Chapter 5 provides comprehensive guidance and step-by-step explanations for the concepts covered in this chapter Class 6 Mathematics. This chapter typically introduces fundamental mathematical concepts, laying the groundwork for future studies.
ML Aggarwal Class 6 Chapter 5 Solutions
ICSE Class 6 Maths Chapter 5 Solutions ML Aggarwal
ML Aggarwal SolutionsICSE SolutionsSelina ICSE Solutions
Understanding ICSE Mathematics Class 6 ML Aggarwal Solutions Pdf Download Chapter 5 Sets










