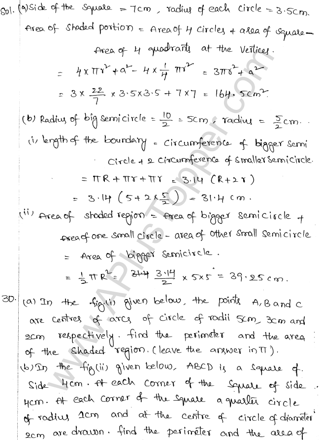
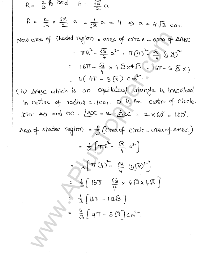
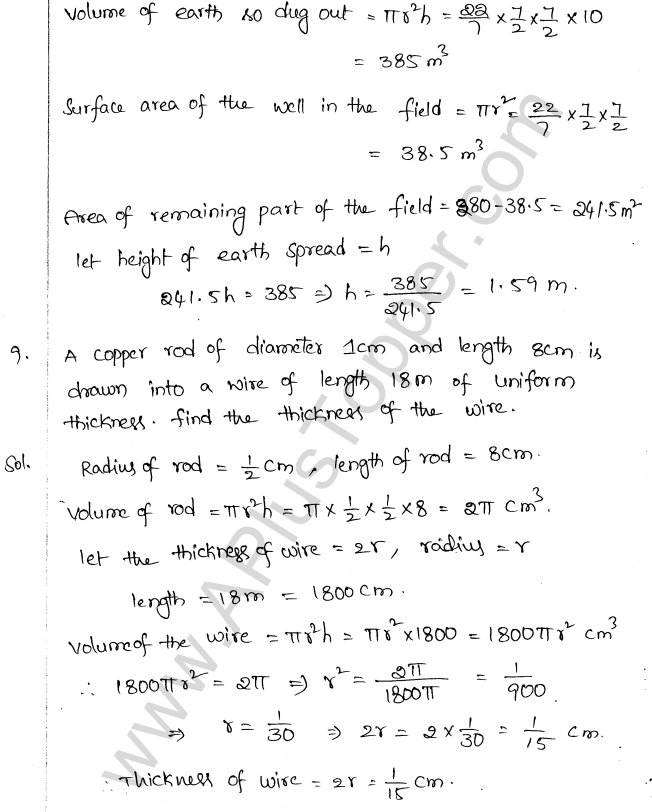
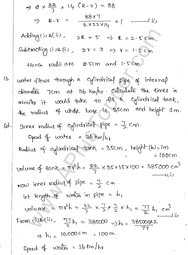
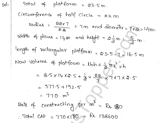
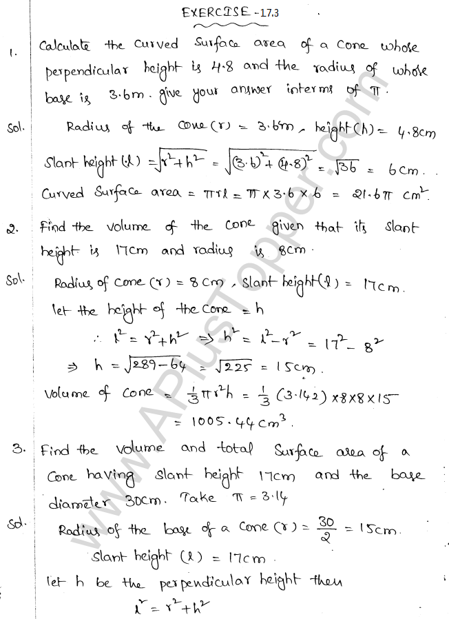
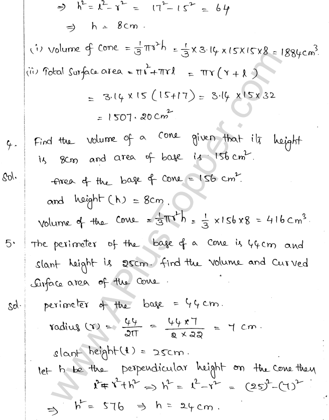
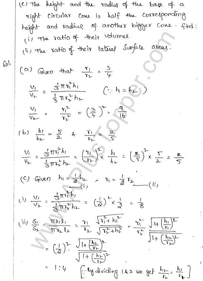
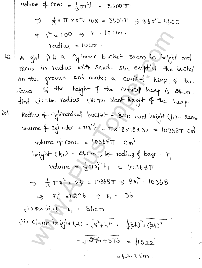
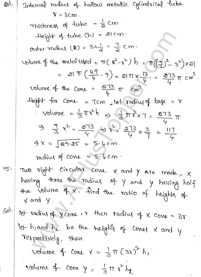
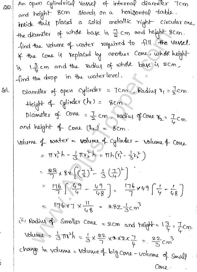
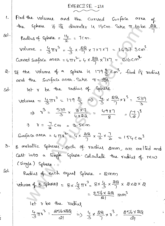
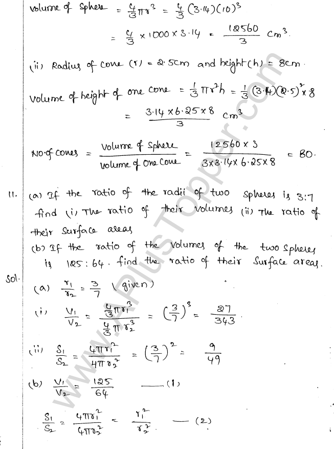
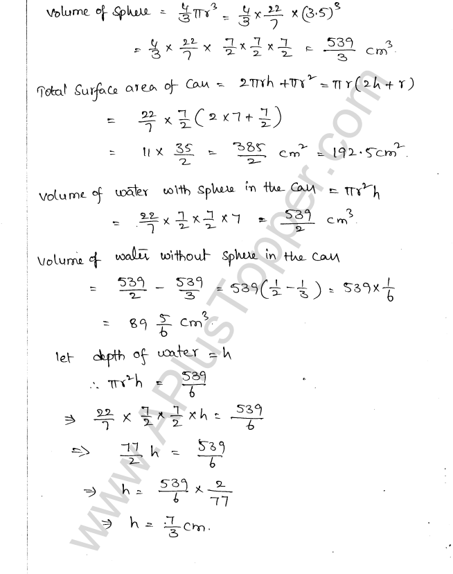
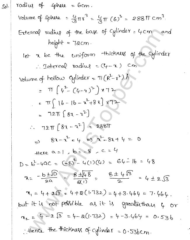
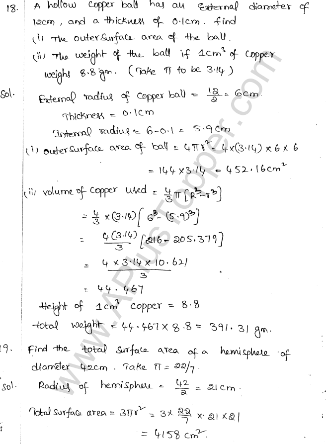
ML Aggarwal ICSE Solutions for Class 10 Maths Chapter 18 Mensuration
ML Aggarwal SolutionsICSE SolutionsSelina ICSE Solutions





















































































ML Aggarwal SolutionsICSE SolutionsSelina ICSE Solutions




















































































