ICSE Maths Previous Year Question Paper 2010 Solved for Class 10
ICSE Paper 2010
MATHEMATICS
(Two hours and a half)
Answers to this Paper must be written on the paper provided separately.
You will not be allowed to write during the first 15 minutes.
This time is to be spent in reading the question paper.
The time given at the head of this Paper is the time allowed for writing the answers.
Attempt all questions from Section A and any four questions from Section B.
All working, including rough work, must be clearly shown and must be done on the same sheet as the rest of the answer. Omission of essential working will result in the loss of marks.
The intended marks for questions or parts of questions are given in brackets [ ].
Mathematical tables are provided.
SECTION-A (40 Marks)
(Attempt all questions from this Section)
Question 1:
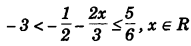
(a) Solve the following inequation and represent the solution set on the number line. [3]
![]()
(b) Tarun bought an article for ₹ 8,000 and spent ₹ 1,000 for transportation. He marked the article at ₹ 11,700 and sold it to a customer. If the customer had to pay 10% sales tax, find
(i) The customer’s price.
(ii) Tarun’s profit percent. [3]
(c) Mr. Gupta opened a recurring deposit account in a bank. He deposited ₹ 2,500 per month for two years. At the time of maturity he got ₹ 67,500. Find:
(i) the total interest earned by Mr. Gupta.
(ii) the rate of interest per annum. [4]
Solution:
(a)

(b)


(c)

Question 2:

Find AB + 2C – 4D. [3]
(b) Nikita invests Rs. 6,000 for two years at a certain rate of interest compounded annually. At the end of the first year, it amounts to Rs. 6,720. Calculate:
(i) the rate of interest.
(ii) the amount at the end of the second year.
(c) A and B are two points on the x-axis and y-axis respectively. P (2, -3) is the midpoint of AB. Find the
(i) Coordinates of A and B.
(ii) Slope of line AB.
(iii) Equation of line AB. [4]

Solution:
(a)

(b)

(c)

Question 3:
(a) Cards marked with numbers 1, 2, 3, 4 … 20 are well shuffled and a card is drawn at random. What is the probability that the number of the cards is
(i) a prime number
(ii) divisible by 3
(iii) a perfect square? [3]
(b) Without using trigonometric tables evaluate:

(c) (Use graph paper for this question)
A(0, 3), B(3, -2) and O(0, 0) are the vertices of triangle ABO.
(i) Plot the triangle on a graph sheet taking 2 cm = 1 unit on both the axes.
(ii) Plot D the reflection of B in the Y axis, and write its co-ordinates.
(iii) Give the geometrical name of the figure ABOD.
(iv) Write the equation of the line of symmetry of the figure ABOD. [4]
Solution:
(a)

(b)

(c)

Question 4:
(a) When divided by x – 3 the polynomials x3 – px2 + x + 6 and 2x3 – x2 – (p + 3) x – 6 leave the same remainder. Find the value of ‘p’. [3]
(b) In the figure given alongside AB and CD are two parallel chords and O is the centre. If the radius of the circle is 15 cm, find the distance MN between the two chords of length 24 cm and 18 cm respectively. [3]

(c) The distribution given below shows the marks obtained by 25 students in an aptitude test. Find the mean, median and mode of the distribution. [4]
| Marks obtained | 5 | 6 | 7 | 8 | 9 | 10 |
| No. of students | 3 | 9 | 6 | 4 | 2 | 1 |
Solution:
(a)

(b)

(c)
xi | fi | xifi | cf |
| 5 | 3 | 15 | 3 |
| 6 | 9 | 54 | 12 |
| 7 | 6 | 42 | 18 |
| 8 | 4 | 32 | 22 |
| 9 | 2 | 18 | 24 |
| 10 | 1 | 10 | 25 |
| Σf = 25 | Σxifi = 171 |

SECTION-B (40 Marks)
(Attempt any four questions from this Section)
Question 5:
(a) Without solving the following quadratic equation, find the value of ‘p’ for which the roots are equal.
px2 – 4x + 3 = 0 [3]
(b) Rohit borrows Rs. 86,000 from Arun for two years at 5% per annum simple interest. He immediately lends out this money to Akshay at 5% compound interest compounded annually for the same period. Calculate Rohit’s profit in the transaction at the end of the two years. [3]
(c) Mrs. Kapoor opened a Saving Bank Account in State Bank of India on 9th January 2008. Her pass book entries for the year 2008 are given below:
| Date | Particulars | Withdrawals (in Rs.) | Deposits (in Rs.) | Balance (in Rs.) |
| Jan 9, 2008 | By Cash | — | 10,000 | 10,000 |
| Feb 12, 2008 | By Cash | — | 15,500 | 25,500 |
| April 6, 2008 | To Cheque | 3,500 | — | 22,000 |
| April 30, 2008 | To Self | 2,000 | — | 20,000 |
| July 16, 2008 | By Cheque | — | 6,500 | 26,500 |
| Aug. 4, 2008 | To Self | 5,500 | — | 21,000 |
| Aug. 20, 2008 | To Cheque | 1,200 | — | 19,800 |
| Dec. 12, 2008 | By Cash | — | 1,700 | 21,500 |
Mrs. Kapoor closed the account on 31st December, 2008. If the bank pays interest at 4% per annum, find the interest Mrs. Kapoor receives on closing the account. Give your answer correct to the nearest rupee. [4]
Answer:
(a)

(b)

(c)

Question 6:
(a) A manufacturer marks an article for Rs. 5,000. He sells it to a wholesaler at a discount of 25% on the market price and the wholesaler sells it to a retailer at a discount of 15% on the market price. The retailers sells it to a consumer at the market price and at each stage the VAT is 8%. Calculate the amount of VAT received by the Government from:
(i) the wholesaler (ii) the retailer. [3]
(b) In the following figure O is the centre of the circle and AB is a tangent to it at point B. ∠BDC = 65°. Find ∠BAO. [3]

(c) A doorway is decorated as shown in the figure. There are four semi-circles. BC, the diameter of the larger semi circle is of length 84 cm. Centres of the three equal semi-circles lie on BC. ABC is an isosceles triangle with AB = AC. If BO = OC, find the area of the shaded region. (Take π = 22/7) [4]

Solution:
(a)

(b)

(c)


Question 7:
(a) Use ruler and compasses only for this question:
(i) Construct ∆ABC, where AB = 3.5 cm, BC = 6 cm and ∠ABC = 60°.
(ii) Construct the locus of points inside the triangle which are equidistant from BA and BC.
(iii) Construct the locus of points inside the triangle which are equidistant from B and C.
(iv) Mark the point P which is equidistant from AB, BC and also equidistant from B and C. Measure and record the length of PB. [3]
(b) The equation of a line is 3x + 4y – 7 = 0. Find
(i) the slope of the line.
(ii) the equation of a line perpendicular to the given line and passing through the intersection of the lines x – y + 2 = 0 and 3x + y – 10 = 0. [3]
(c) The mean of the following distribution is 52 and the frequency of class interval 30-40 is ‘f’. Find ‘f’.
| Class Interval | 10-20 | 20-30 | 30-40 | 40-50 | 50-60 | 60-70 | 70-80 |
| Frequency | 5 | 3 | f | 7 | 2 | 6 | 13 |
Solution:
(a) Steps of Construction:
(i) Draw BC = 6 cm and make an angle at B = 60°. Cut BA = 3.5 cm and meet A to C. This is the required ∆ABC.
(ii) Draw the bisector of ∆ABC and perpendicular bisector of BC; both intersecting at P.
(iii) P is the required point. PB = 3.5 cm.

(b)

(c)

⇒ 17f = 68
⇒ f = 4
Question 8:
(a) Use the Remainder Theorem to factorise the following expression:
2x3 + x2 – 13 + 6 [3]
![]()
(c) From the top of a light house 100 m high the angles of depression of two ships on opposite sides of it are 48° and 36° respectively. Find the distance between the two ships to the nearest metre.

Solution:

(b)


(c)

Question 9:

(c) Vivek invests Rs. 4,500 in 8%, Rs. 10 shares at Rs. 15. He sells the shares when the price rises to Rs. 30, and invests the proceeds in 12% Rs. 100 shares at Rs. 125. Calculate:
(i) the sale proceeds.
(ii) the number of Rs. 125 shares he buys.
(iii) the change in his annual income from dividend. [4]
Solution:


(b)

(c)

Question 10:
(a) A positive number is divided into two parts such that the sum of the squares of the two parts is 208. The square of the larger part is 8 times the smaller part. Taking x as the smaller part of the two parts, find the number. [4]
(b) The monthly income of a group of 320 employees in a company is given below:
| Monthly Income | No. of Employees |
| 6000-7000 | 20 |
| 7000-8000 | 45 |
| 8000-9000 | 65 |
| 9000-10000 | 95 |
| 10000-11000 | 60 |
| 11000-12000 | 30 |
| 12000-13000 | 5 |
Draw an ogive of the given distribution on a graph sheet taking 2 cm = Rs. 1,000 on one axis and 2 cm = 50 employees on the other axis. From the graph determine:
(i) the median wage.
the number of employees whose income is below Rs. 8,500.
If the salary of a senior employee is above Rs. 11,500, find the number of senior employees in the company.
(iv) the upper quartile. [6]
Solution:
(a)

(b)
| Monthly Income | No. of Employees | C.F. |
| 6000-7000 | 20 | 20 |
| 7000-8000 | 45 | 65 |
| 8000-9000 | 65 | 130 |
| 9000-10000 | 95 | 225 |
| 10000-11000 | 60 | 285 |
| 11000-12000 | 30 | 315 |
| 12000-13000 | 5 | 320 |
| 320 |
Here n (no. of employees) = 320 (even)

Question 11:
(a) Construct a regular hexagon of side 4 cm. Construct a circle circumscribing the hexagon. [3]
(b) A hemispherical bowl of diameter 7.2 cm is filled completely with chocolate sauce. This sauce is poured into an inverted cone of radius 4.8 cm. Find the height of the cone. [3]

Solution:

(a) Steps of Construction:
(i) Using the given data, construct the regular hexagon ABCDEF with each side equal to 4 cm.
(ii) Draw the perpendicular bisectors of sides AB and AF which intersect each other at point O.
(iii) With O as centre and OA as radius draw a circle which will pass through all the vertices of the regular hexagon ABCDEF.
(b)

(c)
