Factorization – ICSE Solutions for Class 10 Mathematics
ICSE SolutionsSelina ICSE Solutions
Get ICSE Solutions for Class 10 Mathematics Chapter 9 Factorization for ICSE Board Examinations on APlusTopper.com. We provide step by step Solutions for ICSE Mathematics Class 10 Solutions Pdf. You can download the Class 10 Maths ICSE Textbook Solutions with Free PDF download option.
Download Formulae Handbook For ICSE Class 9 and 10
Formulae
- Factor Theorem: If f(x) is a polynomial and a is a real number, then (x – a) is a factor of f(x) if f(α) = 0.
- Remainder Theorem: If a polynomial f(x) is divided by (x – a), then remainder =f(x).
Determine the Following
Question 1. Use remainder theorem and find the remainder when the polynomial g(x) = x3 + x2 – 2x + 1 is divided by x – 3.

Question 2. (i) When x3 + 3x2 – kx + 4 is divided by (x – 2), the remainder is k. Find the value of k.













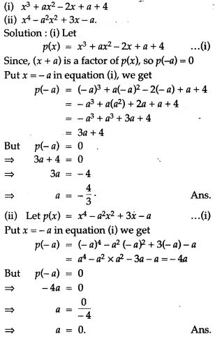
Question 11. In the following two polynomials. Find the value of ‘a’ if x + a is a factor of each of the two:

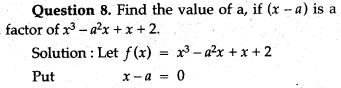
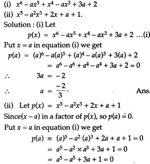
Question 12. In the following two polynomials, find the value of ‘a’ if x – a is a factor of each of the two:





Question 15. In the following problems use the factor theorem to find if g(x) is a factor of p(x):


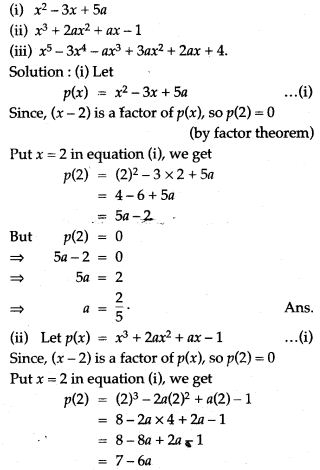
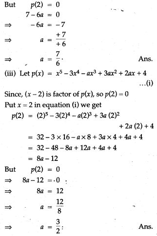
Question 16. If x – 2 is a factor of each of the following three polynomials. Find the value of ‘a’ in each case:


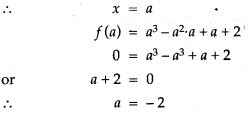
Question 17. Find the value of the constant a and b, if (x – 2) and (x + 3) are both factors of



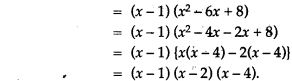
Question 19. If x – 2 is a factor of


Prove the Following




For More Resources