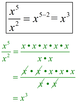
Dividing Powers
Rule: For all numbers x (not zero) and all integers m and n,
“This simply means when you are dividing, and the bases are the same, you SUBTRACT the exponents.” (top exponent subtract bottom exponent)
Consider:

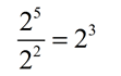
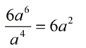
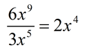
Observe this rule at work in the following examples:
- The bases are the same (both 2’s), so the exponents are subtracted.

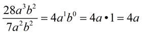
- The bases are the same (all a ‘s), so the exponents are subtracted. Notice how the numbers in front of the bases (6 and 1) are being divided.

- The bases are the same (all x’s), so the exponents are subtracted. The numbers in front of the bases are divided.

- Remember: top exponent minus bottom exponent.
Remember: raising to a 0 power creates a 1.
