How To Find Area Of Rhombus
(1) If both diagonals are given (or we can find their length) then area
= \(\frac { 1 }{ 2 }\) (Product of diagonals)
(2) If we use Heron’s formula then we find area of one triangle made by two sides and a diagonal then twice of this area is area of rhombus.

Area Of Rhombus Example Problems With Solutions
Example 1: A rhombus shaped field has green grass for 18 cows to graze. If each side of the rhombus is 30 m and its longer diagonal is 48 m, how much area of grass field will each cow be getting ?
Solution:

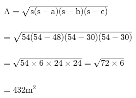
Given that ABCD is a rhombus
For ΔBCD
Perimeter = 8 + 30 + 30
= 108 cm
⇒ 2S = 108 cm, S = 54 cm
Area of ΔBCD

Area of field
= 2 × Area of ΔBCD
= 2 × 432 m²
= 864 m²
∴ Area of grass field each cow be getting = \(\frac { 864 }{ 18 } \)
= 48 m²
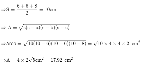
Example 2: A kite in the shape of a square with a diagonal 32 cm and an isosceles triangle of base 8 cm and sides 6 cm each is to be made of three different shades as shown in figure. How much paper of each shade has been used in it ?

Solution:
Given that
Diagonal = 32cm , Base = 8cm , side = 6cm
Area of square = \(\frac { 1 }{ 2 } \) ×(d)²
= \(\frac { 1 }{ 2 } \) ×(32)²
= 512 cm²
Area of shaded portion I = Area of shaded portion II
⇒ \(\frac { 512 }{ 2 } \) = 256 cm²
∴ Area of paper required = 256 cm²
For triangle III region

Area of paper required for III triangle shade = 17.92 cm²