Triangle Information
Triangles can be classified in two ways: by Sides and by Angles.
Classified by Sides: (Definitions)
- A Scalene Triangle has no congruent sides. Each side in this triangle has a different length.

- An Isosceles Triangle has two congruent sides.

\(\overline { DF }\) ≅ \(\overline { FE }\)
The sides that are the same length are called the legs.
The other side is called the base. - An Equilateral Triangle has three congruent sides.

\(\overline { JL }\) ≅ \(\overline { LK }\) ≅ \(\overline { JK }\)
All three sides of this triangle are of the same length.
Classified by Angles: (Definitions)
- An Acute Triangle has all angles measuring less than 90°.

- A Right Triangle has one right angle.
(A right angle measures exactly 90°).

- An Obtuse Triangle has one angle measuring more than 90°.
It is not possible to draw a triangle with more than one obtuse angle.

- An Equiangular Triangle has 3 congruent angles.

All angles measure the same, and each angle measures 60°.
This triangle is the same as the equilateral triangle.
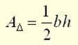
Area of Triangle:
Finding the area of a triangle can be as simple as plugging numbers into the well known formula for the area of a triangle:
But how do you find the area of a triangle when you do not know the height of the triangle?
A Greek engineer and geometer, Hero (or Heron) of Alexandria, who lived in the first century 10 – 75, is credited with discovering a means of finding the area of a triangle when the height is not known.
