Selina Concise Mathematics Class 10 ICSE Solutions Matrices
Selina Publishers Concise Mathematics Class 10 ICSE Solutions Chapter 9 Matrices
Matrices Exercise 9A – Selina Concise Mathematics Class 10 ICSE Solutions
Question 1.
State, whether the following statements are true or false. If false, give a reason.
(i) If A and B are two matrices of orders 3 × 2 and 2 × 3 respectively; then their sum A + B is possible.
(ii) The matrices A2 × 3 and B2 × 3 are conformable for subtraction.
(iii) Transpose of a 2 × 1 matrix is a 2 × 1 matrix.
(iv) Transpose of a square matrix is a square matrix.
(v) A column matrix has many columns and one row.
Solution:
(i) False
The sum A + B is possible when the order of both the matrices A and B are same.
(ii) True
(iii) False
Transpose of a 2 1 matrix is a 1 2 matrix.
(iv) True
(v) False
A column matrix has only one column and many rows.
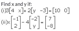
Question 2.

Solution:
If two matrices are equal, then their corresponding elements are also equal. Therefore, we have:
x = 3,
y + 2 = 1 ⇒ y = -1
z – 1 = 2 ⇒ z = 3
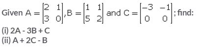
Question 3.

Solution:
If two matrices are equal, then their corresponding elements are also equal.
(i)
a + 5 = 2 ⇒ a = -3
-4 = b + 4 ⇒ b = -8
2 = c – 1 ⇒ c = 3
(ii) a= 3
a – b = -1
⇒ b = a + 1 = 4
b + c = 2
⇒ c = 2 – b = 2 – 4 = -2
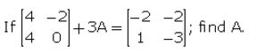
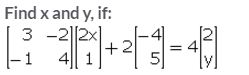
Question 4.
If A = [8 -3] and B = [4 -5]; find: (i) A + B (ii) B – A
Solution:

Question 5.

Solution:

Question 6.

Solution:

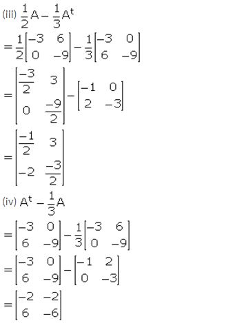
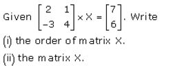
Question 7.

Solution:

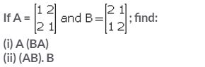
Question 8.

Solution:

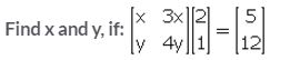
Question 9.

Solution:

Question 10.

Solution:

Question 11.

Solution:

Matrices Exercise 9B – Selina Concise Mathematics Class 10 ICSE Solutions
Question 1.

Solution:

Question 2.

Solution:

Question 3.

Solution:

Question 4.

Solution:

Question 5.

Solution:

Question 6.

Solution:

Question 7.

Solution:


Question 8.

Solution:

Question 9.

Solution:

Question 10.

Solution:

Question 11.

Solution:

Matrices Exercise 9C – Selina Concise Mathematics Class 10 ICSE Solutions
Question 1.

Solution:

The number of columns in the first matrix is not equal to the number of rows in the second matrix. Thus, the product is not possible.
Question 2.

Solution:


Question 3.

Solution:

Question 4.

Solution:

Question 5.

Solution:

Question 6.

Solution:

(iii) Product AA (=A2) is not possible as the number of columns of matrix A is not equal to its number of rows.
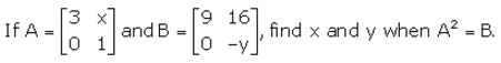
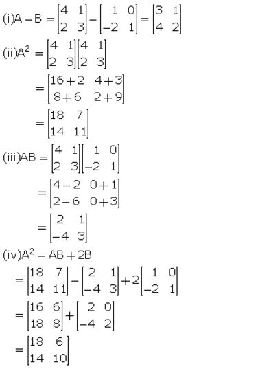
Question 7.

Solution:

Question 8.

Solution:

Question 9.

Solution:

Question 10.

Solution:

Question 11.

Solution:

Question 12.

Solution:

Question 13.

Solution:

Question 14.

Solution:

Question 15.

Solution:

Question 16(i).

Solution:

Question 16(ii).

Solution:

Question 16(iii).

Solution:

Question 17.

Solution:
We know, the product of two matrices is defined only when the number of columns of first matrix is equal to the number of rows of the second matrix.


Question 18.

Solution:

Question 19.

Solution:

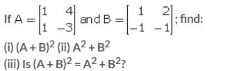
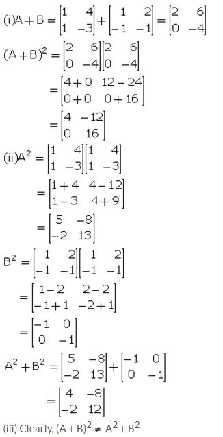
Question 20.
If A and B are any two 2 x 2 matrices such that AB = BA = B and B is not a zero matrix, what can you say about the matrix A?
Solution:
AB = BA = B
We know that AI = IA = I, where I is the identity matrix.
Hence, B is the identity matrix.
Question 21.

Solution:

Question 22.

Solution:

Question 23.

Solution:

Question 24.

Solution:

Question 25.

Solution:

Question 26.

Solution:

Question 27.

Solution:

Question 28.

Solution:

Question 29.

Solution:

Question 30.

Solution:

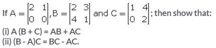
Question 31.
State, with reason, whether the following are true or false. A, B and C are matrices of order 2 x 2.
(i) A + B = B + A
(ii) A – B = B – A
(iii) (B. C). A = B. (C. A)
(iv) (A + B). C = A. C + B. C
(v) A. (B – C) = A. B – A. C
(vi) (A – B). C = A. C – B. C
(vii) A² – B² = (A + B) (A – B)
(viii) (A – B)² = A² – 2A. B + B²
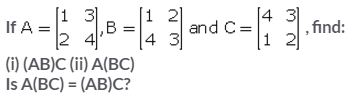
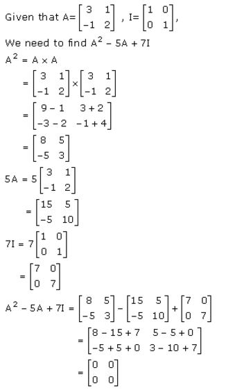
Solution:
(i) True.
Addition of matrices is commutative.
(ii) False.
Subtraction of matrices is commutative.
(iii) True.
Multiplication of matrices is associative.
(iv) True.
Multiplication of matrices is distributive over addition.
(v) True.
Multiplication of matrices is distributive over subtraction.
(vi) True.
Multiplication of matrices is distributive over subtraction.
(vii) False.
Laws of algebra for factorization and expansion are not applicable to matrices.
(viii) False.
Laws of algebra for factorization and expansion are not applicable to matrices.
Matrices Exercise 9D – Selina Concise Mathematics Class 10 ICSE Solutions
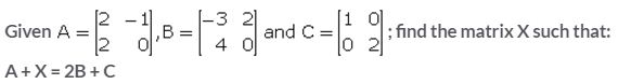
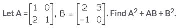
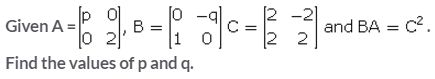
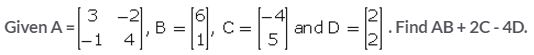
Question 1.

Solution:

Question 2.

Solution:

Question 3.

Solution:

Question 4.

Solution:


Question 5.

Solution:

Question 6.

Solution:

Question 7.

Solution:

Question 8.

Solution:

Question 9.

Solution:

Question 10.

Solution:

Question 11.

Solution:

Question 12.

Solution:

Question 13.

Solution:

Question 14.

Solution:

Question 15.

Solution:

Question 16.

Solution:

Question 17.

Solution:

Question 18.

Solution:

Question 19.

Solution:

Question 20.

Solution:

Question 21.

Solution:

Question 22.

Solution:

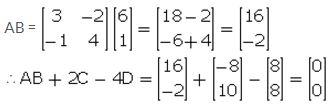
Question 23.

Solution:


Question 24.

Solution:

Question 25.

Solution:

More Resources for Selina Concise Class 10 ICSE Solutions
- Selina ICSE Class 10 Maths Solutions
- Concise Physics Class 10 ICSE Answers
- Concise Chemistry Class 10 ICSE Answers
- Concise Biology Class 10 ICSE Answers
ICSE Solutions Selina ICSE Solutions