Sectors and Segments of Circles
Let’s review what we know about the area of circles and sectors.

Area (circle) = πr2
Area of sectors of circle
(Sectors are similar to “pizza pie slices” of a circle.)
- Semi-circle
(half of circle = half of area)

\(A=\frac { 1 }{ 2 } \pi { r }^{ 2 }\) - Quarter-Circle
(1/4 of circle = 1/4 of area)

\(A=\frac { 1 }{ 4 } \pi { r }^{ 2 }\) - Any Sector
(fractional part of the area)

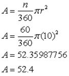
\(A=\frac { n }{ 360 } \pi { r }^{ 2 }\)
where n is the number of degrees in the central angle of the sector.
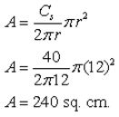
\(A=\frac { { C }_{ s } }{ 2\pi r } \pi { r }^{ 2 }\)
where Cs is the arc length of the sector.
Notice that when finding the area of a sector, you are actually finding a fractional part of the area of the entire circle. The fraction is determined by the ratio of the central angle of the sector to the “entire central angle” of 360 degrees, or by the ratio of the arc length to the entire circumference. The second formula can be algebraically reduced, but it is easier to remember that you are dealing with fractional parts.
Example:
Find the area of a sector with a central angle of 60 degrees and a radius of 10. Express answer to the nearest tenth.
Solution:

Example:
Find the area of a sector with an arc length of 40 cm and a radius of 12 cm.
Solution:
Now, let’s expand our investigation to a new section of the circle.
Segment of a Circle
While a sector looks like a “pie” slice, a segment looks like the “pie” slice with the triangular portion cut off. The segment is only the small partially curved figure left when the triangle is removed.
Definition: The segment of a circle is the region bounded by a chord and the arc subtended by the chord.
Finding the Area of a Segment of a Circle:
Dealing with the area of a segment is very similar to working with the area of a sector. If you find the area of the sector and subtract the area of the triangle, you will have the area of the segment portion of the circle.
Asegment = Asector – Atriangle
Let’s look at an example problem.
Problem:
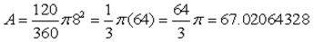
Find the area of a segment of a circle with a central angle of 120 degrees and a radius of 8 Express answer to nearest integer.
Solution:
Start by finding the area of the sector:
![]()
Now, find the area of the triangle. Dropping the altitude forms a 30-60-90 degree triangle. Using trig. (or the 30-60-90 rules), find the altitude, which is 4, and the other leg, which is 6.92820323 (or ) 4√3.

