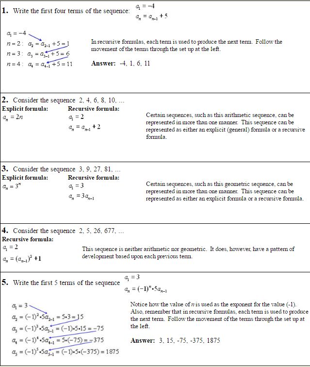
Recursive Sequences
Recursion is the process of choosing a starting term and repeatedly applying the same process to each term to arrive at the following term. Recursion requires that you know the value of the term immediately before the term you are trying to find.
A recursive formula always has two parts:
1. the starting value for a1.
2. the recursion equation for an as a function of an-1 (the term before it.)

Be sure you understand that the two formulas at the left say the same thing. Different textbooks write recursive formulas in different ways.
A recursive formula may list the first two (or more) terms as starting values, depending upon the natrue of the sequence. In such caes, the an portion of the formula is dependent upon the previous two (or more) terms..
Examples:
