Profit and Loss RS Aggarwal Class 8 Maths Solutions Ex 10D
Profit and Loss RS Aggarwal Class 8 Maths Solutions Ex 10D
Q1.

Q2.

Q3.

Q4.

Q5.

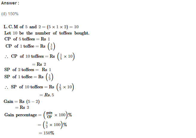
Q6.

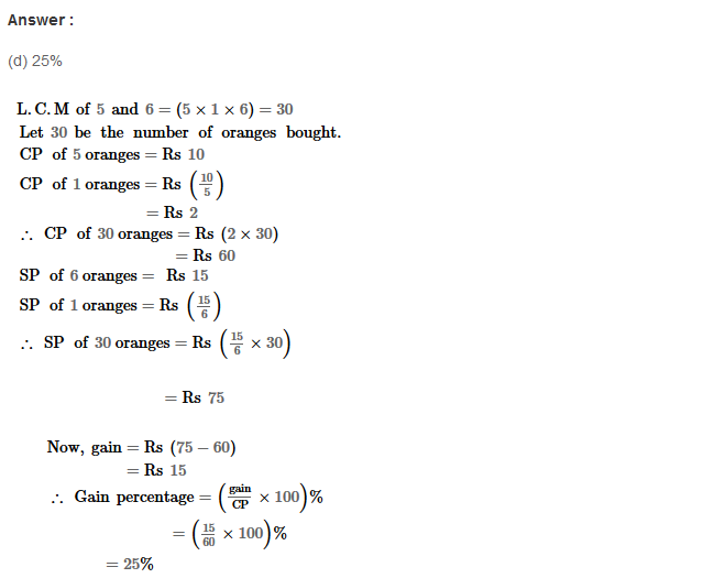
Q7.

Q8.

Q9.

Q10.

Q11.

Q12.

Q13.

Q14.

Q15.


Q16.

Q17.

Q18.

Q19.

Q20.

Q21.


For More Resources