Profit and Loss RS Aggarwal Class 8 Maths Solutions Ex 10A
Profit and Loss RS Aggarwal Class 8 Maths Solutions Ex 10A


Q1.



Q3.


Q4.

Q5.

Q6.

Q7.

Q8.

Q9.

Q10.

Q11.

Q12.

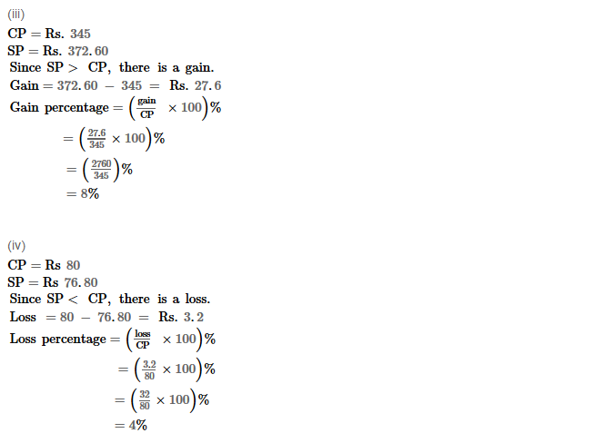
Q13.

Q14.

Q15.

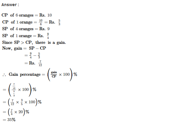
Q16.

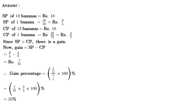
Q17.

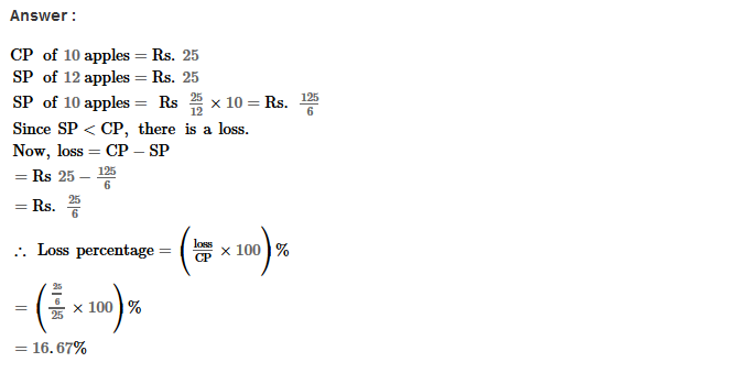
Q18.

Q19.

Q20.

Q21.

Q22.


Q23.


Q24.

Q25.

Q26.

Q27.

Q28.

Q29.

Q30.


Q31.


Q32.


Q33.


Q34.


For More Resources