Kerala Plus Two Physics Previous Year Question Paper March 2019 with Answers
| Board | SCERT |
| Class | Plus Two |
| Subject | Physics |
| Category | Plus Two Previous Year Question Papers |
Time: 2 Hours
Cool off time : 15 Minutes
Maximum : 60 Score
General Instructions to candidates:
- There is a ‘cool off time’ of 15 minutes in addition to the writing time of 2 hrs.
- You are not allowed to write your answers nor to discuss anything with others during the ‘cool off time’.
- Use the ‘cool off time’ to get familiar with the questions and to plan your answers.
- Read questions carefully before you answering.
- All questions are compulsory and only internal choice is allowed.
- When you select a question, all the sub-questions must be answered from the same question itself.
- Calculations, figures and graphs should be shown in the answer sheet itself.
- Malayalam version of the questions is also provided.
- Give equations wherever necessary.
- Electronic devices except non programmable calculators are not allowed in the Examination Hall.
The given value of constants can be used wherever necessary.
Charge of proton = 1.6 x 10-19C
Mass of proton = 1.67 x 10-27kg
Answer any three questions from 1 to 4. Each carries 1 score. (3 × 1 = 3)
Question 1.
A charged particle enters a uniform magnetic field at an angle of 40°. It’s path becomes …………
Answer:
Helical
Question 2.
Figure shows the symbolic representation of ……….

i) OR gate
ii) NAND gate
iii) NOR gate
iv) NOT gate
Answer:
iii) NOR gate
Question 3.
Write the unit of mobility.
Answer:

Question 4.
If ‘h’ is Planck’s constant, the momentum of a photon of wavelength 1 A° is
i) h
ii) 10-10
iii) 1010 h
iv) 10 h
Answer:

Answer any six questions from 5 to 11. Each carries 2 scores. (6 × 2 = 12)
Question 5.
a) The ratio of electric field on the equatorial point and at the axial point at equal distances from the centre of a short electric dipole is ………..
b) A closed surface encloses an electric dipole. What is the electric flux through the surface?
Answer:

Question 6.
A series LCR circuit connected to an ac source is shown below:

a) Write an expression for impedance offered by its circuit.
b) Under what condition this circuit is used for tuning radio?
Answer:
a) Impedence Z = \(\sqrt{R^{2}+\left(x_{L}-x_{C}\right)^{2}}\)
b) at XL = XC this circuit is used as tuner circuit.
Question 7.
Which electromagnetic waves are used for the following purposes?
i) Diagnostic tool in medicine.
ii) Kill germs in water purifiers.
iii) Cellular phones.
iv) In remote switches of household electronic systems.
Answer:
i) X-rays
ii) Uv rays
iii) Radio Waves
iv) IR rays
Question 8.
Calculate the effective capacitance between ’a’ and ‘b’ from the figure given below:
C1 = C3 = 100 µF, C2 = C4 = 200 µF

Question 9.
Write any two uses of polaroids.
Answer:
- Polaroids are used in sunglasses
- Polaroids are used to produce 3D motion films
Question 10.
The temperature dependence of resistivity of a material is shown below:

a) Identify the type of material.
b) Write the relation between resistivity and average collision time for electron.
Answer:
a) Semi conductor
b) ρ = \(\frac{\mathrm{m}}{\mathrm{ne}^{2} \tau}\)
Question 11.
What is meant by half life of a radioactive substance? Write its relation with decay constant.
Answer:
Half life is the time taken for a radio active substance to reduce half of its initial value.
\(T_{1 / 2}=\frac{0.693}{\lambda}\)
Answer any six questions from 12 to 18. Each carries 3 scores. (6 × 3 = 18)
Question 12.
A spherical shell of radius R’ is uniformly charged with charge +q. By Gauss’stheorem, find the electric field intensity at a point ‘p’.
a) Outside the spherical shell and
b) Inside the spherical shell.
Answer:
Field Due To A Uniformly Charged Thin Spherical Shell: Consider a uniformly charged hollow spherical conductor of radius R. Let ‘q’ be the total charge on the surface.

To find the electric field at P (at a distance r from the centre), we imagine a Gaussian spherical surface having radius ‘r’.
Then, according to Gauss’s theorem we can write,
\(\int \overrightarrow{\mathrm{E}} \cdot \mathrm{d} \overrightarrow{\mathrm{s}}=\frac{1}{\varepsilon_{0}} \mathrm{q}\)
The electric field is constant,at a distance T. So we can write,

b) E = 0.
Question 13.
The equipotential surface through a point is normal to the electric field at that point.
a) What is meant by equipotential surface?
b) What is the work done to move a charge on an equipotential surface?
c) Draw the equipotential surfaces for a uniform electric field.
Answer:
a) The surface over which potential is constant is equipotential surface.
b) Workdone = pd × charge
= 0 × q = 0
c)

Question 14.
The elements of earth’s magnetic field at a place are declination, dip and horizontal intensity.
a) A magnetic needle free to move in horizontal plane is shown below:

Which element of earth’s magnetic field is represented by θ in the figure?
b) The vertical component of earth’s magnetic field at a given place is \(\sqrt{3}\) times its horizontal component. If total intensity of earth’s magnetic field at the place is 0.4 G find the value of horizontal component of earth’s magnetic field.
Answer:
a) Declination
b) tan θ = \(\frac{B_{V}}{B_{H}}=\sqrt{3}\)
∴ θ = 60°
BH = B cos θ, B = 0.4 G
BH = 0.4 × cos 60 = 0.2 G
= 0.2 × 10-4 T
Question 15.
A transformer is used to change the alternating voltage to a high or low value.
a) What is the principle of a transformer?
b) A power transmission line feeds input power of 2300 V to a stepdown transformer with its primary windings having 4000 turns. What should be the number of turns in the secondary in order to get output power at 230 V?
Answer:
a) Mutual Induction
b) Vp = 2300 v, Np = 4000 turns
Vs = 230 v

Question 16.
Describe Young’s double slit experiment and derive an expression for the band width of the interference band.
Answer:
Expression for band width

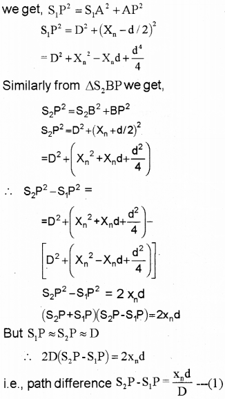
S1 and S2 are two coherent sources having wave length λ. Let ‘d’ be the distance between two coherent sources. A screen is placed at a distance D from sources. ‘O’ is a point on the screen equidistant from S1 and S2.
Hence the path difference, S1O – S2O = 0
So at ‘O’ maximum brightness is obtained.
Let ‘P’ be the position of nth bright band at a distance xn from O. Draw S1A and S2B as shown in figure.
From the right angle ΔS1AP

But we know constructive interference takes place at P, So we can take
(S2P – S1P) = nλ
Hence eq (1) can be written as

Let xn + 1 be the distance of (n + 1)th bright band from centre O, then we can write

This is the width of the bright band. It is the same for the dark band also.
Question 17.
The schematic diagram of an experimental setup to study the wave nature of electron is shown below:

a) Identify the experiment.
b) Explain how this experiment verified the wave nature of electrons.
Answer:
a) Davisson and Germer Experiment
b)

Experimental setup: The Davisson and Germer Experiment consists of filament ‘F’, which is connected to a low tension battery. The Anode Plate (A) is used to accelerate the beam of electrons. A high voltage is applied in between A and C. ’N’ is a nickel crystal. D is an electron detector. It can be rotated on a circular scale. Detector produces current according to the intensity of incident beam.
Working: The electron beam is produced by passing current through filament F. The electron beam is accelerated by applying a voltage in between A (anode) and C. The accelerated electron beam is made to fall on the nickel crystal. The nickel crystal scatters the electron beam to different angles. The crystal is fixed at an angle of Φ = 50° to the incident beam. The detector current for different values of the accelerating potential ‘V’ is measured. A graph between detector current and voltage (accelerating) is plotted. The shape of the graph is shown in figure.
Analysis of graph:

The graph shows that the detector current increases with accelerating voltage and attains maximum value at 54V and then decreases. The maximum value of current at 54 V is due to the constructive interference of scattered waves from nickel crystal (from different planes of crystal). Thus wave nature of electron is established.
Experimental wavelength of electron: The wave length of the electron can be found from the formula
2d sinθ = nλ …….. (1)
From the figure, we get
θ + Φ + θ = 180°
2θ = 180 – Φ, 2θ = 180 – 50°
θ = 65°
for n = 1
equation (1) becomes
λ = 2d sinθ ……….. (2)
for Ni crystal, d = 0.91 A°
Substituting this in eq. (2), we get
wavelength λ = 1.65 A°
Theoretical wave length of electron:
The accelerating voltage is 54 V
Energy of electron E = 54 × 1.6 × 10-19 J

Discussion: The experimentally measured wave-length is found in agreement with de-Broglie wave length. Thus wave nature of electron is confirmed.
Question 18.
The energy required to separate all the nucleons inside a nucleus is called binding energy of the nucleus.
a) Write an expression for binding energy in terms of mass defect.
b) Draw the graph showing the variation of binding energy per nucleon as a function of mass number.
c) Which nucleus possess maximum binding energy per nucleon?
Answer:
a) BE = Δ mc2 or
BE = (Zmp + (A – Z) mn – M)c2
b) Graph

c) Fe (nucleus of iron)
Answer any three questions from 19 to 22. Each carries 4 scores. (3 × 4 = 12)
Question 19.
Niels Bohr made certain modification in Rutherford’s model by adding the ideas of quantum hypothesis.
a) State Bohr’s second postulate of quantisation of angular momentum.
b) Derive an expression for the radius and energy of the electron in the nth orbit of hydrogen atom.
Answer:
a) The orbital angular momentum of electron is an integral multiple of \(\frac{\mathrm{h}}{2 \pi}\)
b) Radius of the hydrogen atom: Consider an electron of charge ‘e’ and mass m revolving round the positively charged nucleus in circular orbit of radius ‘r’.
The force of attraction between the nucleus and the electron is

This force provides the centripetal force for the orbiting electron

According to Bohr’s second postulate, we can write
Angular momentum, mvr = \(\frac{\mathrm{nh}}{2 \pi}\)
i.e., v = \(\frac{\mathrm{nh}}{2 \pi \mathrm{mr}}\)
Substituting this value of V in equation (2), we get

Energy of the hydrogen atom:
The K.E. of revolving electron is

Substituting the value of equation (5) in equation (9)
we get

Question 20.
Two long co-axial solenoids of same length are shown below:

a) Define mutual inductane of the pair of coils.
b) Derive an expression for mutual inductance of two co-axial solenoids.
c) Write the dimension of mutual inductance.
Answer:
a) Φ = MI, when I = 1 A, Φ = M
The mutual inductance of a pair of coils is numerically equal to the magnetic flux linked with one coil when unit current flows through the other.
b) Consider a solenoid (air core) of cross sectional area A and number of turns per unit length n. Another coil of total number of turns N is closely wound over the first coil. Let I be the current flow through the primary.
Flux density of the first coil B = μ0nI
Flux linked with second coil, Φ = BAN
Φ = μ0nIAN ………. (1)
But we know Φ = MI ………. (1)
From eq (1) and eq (2) weget
∴ MI = μ0nIAN
M = μ0nAN
If the solenoid is covered over core of relative per-meability μr
then M = μrμ0nAN
c) ML2T-2A-2
Question 21.
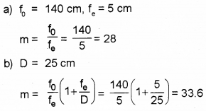
A small telescope has an objective lens of focal length 140 cm and an eyepiece of focal length 5 cm. What is the magnifying power of the telescope for viewing distant objects when
a) the telescope is in normal adjustment.
b) the final image is formed at the least distance of distinct vision.
Answer:

Question 22.
In Amplitude Modulation, the amplitude of the carrier wave is varied in accordance with the information signal.
a) What is meant by modulation index?
b) A message signal of frequency 10 kHz and peak value of 10 V used to modulate a carrier of frequency 1 MHz and peak voltage of 20 V. Determine the modulation index.
c) The block diagram of a transmitter is shown below. Identify the elements labelled X and Y.

Answer:
a) Modulation index, μ = \(\frac{A_{m}}{A_{c}}\)
b) Am = 10 V, Ac = 20 V
∴ μ = \(\frac{A_{m}}{A_{c}}=\frac{10}{20}\) = 0.5
Answer any three questions from 23 to 26. Each carries 5 scores. (3 × 5 = 15)
Question 23.
Cyclotron is a device used to accelerate charged particles.
a) With a suitable diagram briefly explain the working of a cyclotron and obtain an expression for cyclotron frequency.
b) Acyclotron oscillator frequency is 10 MHz. What should be the operating magnetic field for accelerating protons?
Answer:
a) Principles: Cyclotron is based on two facts
- An electric field can accelerate a charged particle.
- A perpendicular magnetic field gives the ion a circular path.
Constructional Details: Cyclotron consists of two semicircular dees D1 and D2, enclosed in a chamber C. This chamber is placed in between two magnets. An alternating voltage is applied in between D1 and D2. An ion is kept in a vacuum chamber.
Working: At certain instant, let D1 be positive and D2 be negative. Ion (+ve) will be accelerated towards D2 and describes a semicircular path (inside it). When the particle reaches the gap, D1 becomes negative and D2 becomes positive. So ion is accelerated towards D1 and undergoes a circular motion with larger radius. This process repeats again and again.
Thus ion comes near the edge of the dee with high K.E. This ion can be directed towards the target by a deflecting plate.

Mathematical expression: Let ‘v’ be the velocity of ion, q the charge of the ion and B the magnetic flux density.
If the ion moves along a semicircular path of radius Y, then we can write

Eq. (2) shows that time is independent of radius and velocity.
Resonance frequency (cyclotron frequency): The condition for resonance is half the period of the accelerating potential of the oscillator should be ‘t’. (i.e., T/2 = t or T = 2t). Hence period of AC
T = 2t


Question 24.
The experimental set up to find an unknown resistance using a metre bridge is shown below:

a) What is the principle of a metre bridge?
b) If the balance point is found to be at 39.5 cm from the end ‘A’, the resistor ‘S’ is of 12.5 Ω. Determine the resistance ‘R’. Why are the connections between resistors in a metre bridge made of thick copper strips?
c) If the galvanometer and cell are interchanged at the balance point of the bridge would the galvanometer show any current?
Answer:

The resistors in metre bridge are made of thick copper strips to minimise the resistance of connection.
c) No. The galvanometer will not show any current.
Question 25.
The circuit used to change alternating voltage to direct voltage is called rectifier.
a) With a neat diagram, explain the working of a full wave rectifier having two diodes.
b) What is the output frequency of a full wave rectifier if the input frequency is 50 Hz?
c) Draw the output wave form across the load resistance connected in the full wave rectifier circuit.
Answer:
a) Full wave rectifier:
Circuit details

Full wave rectifier consists of transformer, two diodes and a load resistance RL. Input a.c signal is applied across the primary of the transformer. Secondary of the transformer is connected to D1 and D2. The output is taken across RL.
Working: During the +ve half cycle of the a.c signal at secondary, the diode D1 is forward biased and D2 is reverse biased. So that current flows through D1 and RL.
During the negative half cycle of the a.c signal at secondary, the diode D1 is reverse biased and D2 is forward biased. So that current flows through D1 and RL. Thus during both the half cycles, the current flows through RL in the same direction. Thus we get a +ve voltage across RL for +ve and -ve input. This process is called full wave rectifcation.
b) 100 Hz

Question 26.
A ray of light parallel to the principal axis of a spherical mirror falls at a point M as shown in the figure below:

a) Identify the type of mirror used in the diagram.
b) By drawing a suitable ray diagram, obtain the mirror equation.
c) If the mirror is immersed in water, its focal length ………….
Answer:
a) Concave mirror
b)

Let points P, F, C be pole, focus and centre of curvature of a concave mirror. Object AB is placed on the principal axis. A ray from AB incident at E and then reflected through F. Another ray of light from B incident at pole P and then reflected. These two rays meet at M. The ray of light from point B is passed through C. Draw EN perpendicular to the principal axis.
Δ IMF and Δ ENF are similar.
![]()
but IF = PI – PF and NF = PF (since aperture is small)
hence eq. (1) can be written as

This is called mirror formula or mirror equation,
c) Remain the same